Redis学习笔记③

150 阅读12分钟

集群

引入

用集群分摊并发写操作的压力和扩容。
主从模式,薪火相传模式,主机宕机,导致ip地址发生变化,应用程序中配置需要修改对应的主机地址、端口等信息。
之前通过代理主机来解决,但是redis3.0中提供了解决方案。就是无中心化集群配置。

image.png

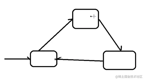
这种模式从机不方便维护而且需要很多主机,所以redis3.0推出了去中心化集群的解决方案。

image.png

大家都可以成为集群的入口!它们之间可以相互连通。
实际中肯定是一个redis占用一个服务器或者docker。

集群配置

删除持久化数据
将rdb,aof文件都删除掉。

vi redis6379.conf

# 在配置文件中设置中添加
cluster-enabled yes    # 打开集群模式
cluster-config-file nodes-6379.conf  # 设定节点配置文件名!!!很重要的
cluster-node-timeout 15000   # 设定节点失联时间,超过该时间(毫秒),集群自动进

# 快速复制
cp redis6379.conf redis6381.conf
ll(查看信息

查看到已经生成了节点配置文件 image.png

# 完整的配置文件
include /home/bigdata/redis.conf
port 6379
pidfile "/var/run/redis_6379.pid"
dbfilename "dump6379.rdb"
dir "/home/bigdata/redis_cluster"
logfile "/home/bigdata/redis_cluster/redis_err_6379.log"
cluster-enabled yes
cluster-config-file nodes-6379.conf
cluster-node-timeout 15000

低版本中没准要手动安装ruby环境,但是高版本中可以不用已经封装了redis-trib.rb文件,但是弹幕说部署启用的时候还是需要(存疑),高版本中需要在redis6.0/src/目录下才能执行。

将六个节点合成一个集群 image.png

在src目录中执行上述命令
--replicas 1 采用最简单的方式配置集群,实现了一主(master)一从(slave),三组的集群
以上我们只是学习哦!工作中肯定是不同ip的!!!

image.png

16384这个值老师留了个扣。

搭建小节

  • 总结一下
  1. 删除所有rdb文件
  2. 创建配置文件
  3. 加那三行配置信息
  4. 启动所有六台服务器
  5. #ll 查看确保有nodes文件
  6. 在redis/src目录下执行命令,把节点合为一个集群

测试一下

redis-cli -p 6379(普通连接

# 集群方式连接
redis-cli -c -p 6379

image.png

连接好会发现集群的基本信息有主有从。

tips

image.png

分配原则尽量保证每个主数据库运行在不同的IP地址,每个从库和主库不在一个IP地址上。
当一个服务器挂掉了,其他的服务器要确保可以提供服务,保障集群的高可用性。

集群操作

slot

插槽(hash slot),一个 Redis 集群包含 16384 个插槽, 数据库中的每个键都属于这 16384 个插槽的其中一个,集群使用公式 CRC16(key) % 16384 来计算键 key 属于哪个槽, 其中 CRC16(key) 语句用于计算键 key 的 CRC16 校验和集群中的每个节点负责处理一部分插槽。
举个例子, 如果一个集群可以有主节点, 其中:
节点 A 负责处理 0 号至 5460 号插槽。
节点 B 负责处理 5461 号至 10922 号插槽。
节点 C 负责处理 10923 号至 16383 号插槽。

image.png

米呆米呆这里有插槽信息哦~

image.png

若插入一个值set k1 value1,用k1计算插槽然后向插槽中加入数据。

image.png

在6379服务器中插入值,但计算的插槽值为slot[12706],在6381服务器中,因此自动跳转至6381加入数据。

image.png

image.png

也会跳转回来!

但要是mset插入多个值,会报错因为无法计算多个插槽值。可以通过{}来定义组的概念,从而使key中{}内相同内容的键值对放到一个slot中去。

mset name{user}lucy age{user}20

以上不是通过key计算插槽值了,而是通过user

image.png

其他的操作指令

# 查看插槽值
cluster keyslot k1

# 查看插槽中保存了多少个值,但是看不到其他服务器的值哦!!!
cluster countkeysinslot 12706(超出本服务器的插槽值看不到的)
cluster countkeysinslot 449(这样会返回1,找到了一个值)

# cluster getkeysinslot 449 1(返回键值“k2”

image.png

image.png

故障恢复

shutdown(人为挂掉一个服务器)
redis-cli -c -p 6380
cluster nodes(查看情况

79挂掉了显示fail,80成为了新的master!! image.png

79再启动后成为了slave

image.png

image.png

如果所有某一段插槽的主从节点都宕掉,redis服务是否还能继续?
如果某一段插槽的主从都挂掉,而cluster-require-full-coverage 为yes ,那么 ,整个集群都挂掉
如果某一段插槽的主从都挂掉,而cluster-require-full-coverage 为no ,那么,该插槽数据全都不能使用,也无法存储。

集群的Jedis开发

import redis.clients.jedis.HostAndPort;
import redis.clients.jedis.JedisCluster;
public class JedisClusterTest {
  public static void main(String[] args) {
      //创建对象,ip地址和端口号,反正每个服务器都可以作为集群入口,随便哪个都可以
     Set<HostAndPort>set =new HashSet<HostAndPort>();
     //其实不用set也可以的
     set.add(new HostAndPort("192.168.31.211",6379));
     
     //直接这样,因为每个都是入口
     Set<HostAndPort>set =new HostAndPort("192.168.31.211",6379);
     
     
     //连接这个集群
     JedisCluster jedisCluster=new JedisCluster(set);
     
     //往里面放值
     jedisCluster.set("k1", "v1");
     System.out.println(jedisCluster.get("k1"));
      
      
      //别忘啦要关闭
      jedisCluster.close();
  }
}

总结一下

image.png

多键操作的缺点比较多。

应用问题的解决

缓存穿透

问题描述

image.png

解决方案

对空值缓存(一种应急方案):

如果一个查询返回的数据为空(不管是数据是否不存在),我们仍然把这个空结果(null)进行缓存,设置空结果的过期时间会很短,最长不超过五分钟

设置可访问的名单(白名单,效率不高):

使用bitmaps类型定义一个可以访问的名单,名单id作为bitmaps的偏移量,每次访问和bitmap里面的id进行比较,如果访问id不在bitmaps里面,进行拦截,不允许访问

采用布隆过滤器(命中率不高):

(布隆过滤器(Bloom Filter)是1970年由布隆提出的。它实际上是一个很长的二进制向量(位图)和一系列随机映射函数(哈希函数)。布隆过滤器可以用于检索一个元素是否在一个集合中。它的优点是空间效率和查询时间都远远超过一般的算法,缺点是有一定的误识别率和删除困难。)
将所有可能存在的数据哈希到一个足够大的bitmaps中,一个一定不存在的数据会被 这个bitmaps拦截掉,从而避免了对底层存储系统的查询压力。

进行实时监控:

当发现Redis的命中率开始急速降低,需要排查访问对象和访问的数据,和运维人员配合,可以设置 黑名单限制服务

现实生活中

报警啊!!黑客攻击!

缓存击穿

问题描述

image.png

image.png

解决方案

预先设置热门数据

在redis高峰访问之前,把一些热门数据提前存入到redis里面,加大这些热门数据key的时长

实时调整

现场监控哪些数据热门,实时调整key的过期时长

使用锁

1)就是在缓存失效的时候(判断拿出来的值为空),不是立即去load db。
(2)先使用缓存工具的某些带成功操作返回值的操作(比如Redis的SETNX)去set一个mutex key
(3)当操作返回成功时,再进行load db的操作,并回设缓存,最后删除mutex key;
(4)当操作返回失败,证明有线程在load db,当前线程睡眠一段时间再重试整个get缓存的方法。

image.png

缓存崩溃

问题描述

正常模式: image.png

大量key过期了,雪崩来了!!! image.png

解决方案

构建多级缓存架构

nginx缓存 + redis缓存 +其他缓存(ehcache等)

结构比较复杂

使用锁或队列

用加锁或者队列的方式保证来保证不会有大量的线程对数据库一次性进行读写,从而避免失效时大量的并发请求落到底层存储系统上。不适用高并发情况

设置过期标志更新缓存

记录缓存数据是否过期(设置提前量),如果过期会触发通知另外的线程在后台去更新实际key的缓存。

将缓存失效时间分散开

比如我们可以在原有的失效时间基础上增加一个随机值,比如1-5分钟随机,这样每一个缓存的过期时间的重复率就会降低,就很难引发集体失效的事件。

分布式锁

问题描述

随着业务发展的需要,原单体单机部署的系统被演化成分布式集群系统后,由于分布式系统多线程、多进程并且分布在不同机器上,这将使原单机部署情况下的并发控制锁策略失效,单纯的Java API并不能提供分布式锁的能力。为了解决这个问题就需要一种跨JVM的互斥机制来控制共享资源的访问,这就是分布式锁要解决的问题!
分布式集群共享锁

image.png

image.png

# 在6379redis上
setnx users 10
# 释放锁
del users

# 再设置
setnx users 20

image.png

image.png

1. 多个客户端同时获取锁(setnx)
2. 获取成功,执行业务逻辑{从db获取数据,放入缓存},执行完成释放锁(del)
3. 其他客户端等待重试

我们还可以设置过期时间

setnx users 10
expire users 10
# ttl可查看过期时间
ttl users

image.png

image.png

# ex = expire,nx表示存在不设置值,将命令变为原子操作
set users 10 nx ex 12

set sku:1:info “OK” NX PX 10000

EX second :设置键的过期时间为 second 秒。 SET key value EX second 效果等同于 SETEX key second value 。

PX millisecond :设置键的过期时间为 millisecond 毫秒。 SET key value PX millisecond 效果等同于 PSETEX key millisecond value 。

NX :只在键不存在时,才对键进行设置操作。 SET key value NX 效果等同于 SETNX key value 。

XX :只在键已经存在时,才对键进行设置操作。

java版本



@GetMapping("testLock")

public void testLock(){
    //1获取锁,setne
    Boolean lock = redisTemplate.opsForValue().setIfAbsent("lock", "111");
    //2返回true,获取锁成功、查询num的值
    if(lock){
        Object value = redisTemplate.opsForValue().get("num");
        //2.1判断num为空return
        if(StringUtils.isEmpty(value)){
            return;
        }

        //2.2有值就转成成int
        int num = Integer.parseInt(value+"");
        //2.3把redis的num加1
        redisTemplate.opsForValue().set("num", ++num);
        //2.4释放锁,del
        redisTemplate.delete("lock");
    }else{
        //3获取锁失败、每隔0.1秒再获取
        try {
            Thread.sleep(100);
            testLock();
        } catch (InterruptedException e) {
            e.printStackTrace();
        }
    }
}

重启,服务集群,通过网关压力测试:
ab -n 1000 -c 100 http://192.168.140.1:8080/test/testLock
ab模拟并发请求\

注意修改ip和地址

image.png

基本实现。
问题:setnx刚好获取到锁,业务逻辑出现异常,导致锁无法释放
解决:设置过期时间,自动释放锁。

  • 设置过期时间有两种方式:
  1. 首先想到通过expire设置过期时间(缺乏原子性:如果在setnx和expire之间出现异常,锁也无法释放)\
  2. 在set时指定过期时间(推荐)
    优化一下:

image.png image.png

UUID防误删

但依然会存在问题,比如误删锁

image.png

使用uuid确保不会释放别人的锁。加一个uuid参数。

image.png

//生成uuid
String uuid = UUID.randomUUID().toString();
//把值替换为uuid,这样确保是自己的锁,key是lock
Boolean lock = redisTemplate.opsForValue().setIfAbsent("lock", ,uuid, 3, TimeUnit.SECONDS);


//比较
String lockUuid = (String)redisTemplate.opsForValue().get("lock");
if(uuid == lockUuid) {
    //释放
} else {
    //不是自己的锁不释放
}

因为是非原子性操作,所以删除了两遍自己的锁,误删了b的锁。

image.png

LUA脚本保障释放锁操作的原子性

/*使用lua脚本来锁*/
        // 定义lua 脚本
        String script = "if redis.call('get', KEYS[1]) == ARGV[1] then return redis.call('del', KEYS[1]) else return 0 end";
        // 使用redis执行lua执行
        DefaultRedisScript<Long> redisScript = new DefaultRedisScript<>();
        redisScript.setScriptText(script);
        // 设置一下返回值类型 为Long
        // 因为删除判断的时候,返回的0,给其封装为数据类型。如果不封装那么默认返回String 类型,
        // 那么返回字符串与0 会有发生错误。
        redisScript.setResultType(Long.class);
        // 第一个要是script 脚本 ,第二个需要判断的key,第三个就是key所对应的值。
        redisTemplate.execute(redisScript, Arrays.asList(locKey), uuid);
    } else {
        // 其他线程等待
        try {
            // 睡眠
            Thread.sleep(1000);
            // 睡醒了之后,调用方法。
            testLockLua();
        } catch (InterruptedException e) {
            e.printStackTrace();
        }

分布式锁的总结

为了确保分布式锁可用,我们至少要确保锁的实现同时满足以下四个条件

  • 互斥性。在任意时刻,只有一个客户端能持有锁。
  • 不会发生死锁。即使有一个客户端在持有锁的期间崩溃而没有主动解锁,也能保证后续其他客户端能加锁。
  • 解铃还须系铃人。加锁和解锁必须是同一个客户端,客户端自己不能把别人加的锁给解了。
  • 加锁和解锁必须具有原子性。

Redis6的新功能

ALC (Access Control List)

Redis ACL是Access Control List(访问控制列表)的缩写,该功能允许根据可以执行的命令和可以访问的键来限制某些连接。 在Redis 5版本之前,Redis 安全规则只有密码控制 还有通过rename 来调整高危命令比如 flushdb , KEYS* , shutdown 等。Redis 6 则提供ACL的功能对用户进行更细粒度的权限控制 :
(1)接入权限:用户名和密码
(2)可以执行的命令
(3)可以操作的 KEY

acl list

image.png image.png

即细化权限了

IO多线程

IO多线程其实指客户端交互部分网络IO交互处理模块多线程,而非执行命令多线程。Redis6执行命令依然是单线程。

image.png

cluster

之前老版Redis想要搭集群需要单独安装ruby环境,Redis 5 将 redis-trib.rb 的功能集成到 redis-cli 。另外官方 redis-benchmark 工具开始支持 cluster 模式了,通过多线程的方式对多个分片进行压测。

之前介绍过的

其他

image.png