深度学习之BP神经网络

376 阅读3分钟
参与拿奖:本文已参与「新人创作礼」活动,一起开启掘金创作之路 
ps:代码文末自取

1.相关概念

image.png

image.png

image.png

image.png

image.png

简单来说就是分为前向传播和反向传播,前向用于预测,反向用于更新参数。例如输入的数据为1,第一层有一个神经元x1,其bias为b1,第二层有一个神经元为x2,其bias为b2。第一层的输出为l1=1*x1+b1,第二层的输出为l2=l1*x2+b2。然后计算Loss,进行反向传播。

image.png

2.简单Demo

2.1 数据集准备

2.1.1 创建数据集

# 创建数据集
def create_data(data_length=10000,distribution="Binomial"):
    """
    :param feature_num:特征数目
    :param data_length:数据的长度
    :param distribution: 真实标签服从某项分布
    :return: 创建好的数据集
    """
    data=[[] for _ in range(data_length)]
    f_1=[round(i-data_length+i/(i+1),2) for i in range(data_length)]
    f_2=[round(i%data_length+i/(i+1),2) for i in range(data_length)]
    f_3=[round(i/data_length+i/(i+1),2) for i in range(data_length)]
    random.shuffle(f_1)
    random.shuffle(f_2)
    random.shuffle(f_3)
    for i_ in range(data_length):
        data[i_].append(f_1[i_])
        data[i_].append(f_2[i_])
        data[i_].append(f_3[i_])
    distributions=["Norm","Poisson","Binomial"]
    if distribution not in distributions:
        raise ValueError("distribution must in distributions")
    if distribution=="Norm":
        # 均值为5,方差为1(标签为小数)
        label=normal(5,1,data_length)
    elif distribution=='Poisson':
        # 出现概率为0.5,(标签为整数)
        label=poisson(0.5,data_length)
    else:
        # 标签取值为[0,1],类别所占概率为0.2(标签为整数)
        label=binomial(1,0.2,data_length)
    return data,label

2.1.2 切分数据集

# 数据切分
def data_split(data,ratio):
    return data[:int(len(data)*ratio[0])],data[int(len(data)*ratio[0]):int(len(data)*(ratio[1]+ratio[0]))],data[int(len(data)*(ratio[1]+ratio[0])):]

image.png

2.2 模型部分

2.2.1 模型结构

# 构造类
class FFN(nn.Module):
    def __init__(self,args):
        super(FFN,self).__init__()
        # 层的数目
        self.l_num=args.l_num
        # 输入层的神经元个数
        self.i_num=args.i_num
        # 隐藏层的神经元个数,数据类型为list
        self.h_num=eval(args.h_num)
        # 输出层神经元个数
        self.o_num=args.o_num
        # 激活函数
        self.act_f=ACT2FN[args.act_function]
        # 模型参数
        self.Linears=self.create_ffn()
        # 参数初始化
        self.apply(self._init_weights)
    # 构建模型框架
    def create_ffn(self):
        temp=nn.ModuleList()
        if not isinstance(self.h_num,list):
            raise ValueError("the type of hidden layer nums must be a list!")
        temp.append(nn.Linear(self.i_num,self.h_num[0])) # 输入层
        for h in range(len(self.h_num)-1):
            temp.append(nn.Linear(self.h_num[h],self.h_num[h+1]))
        temp.append(nn.Linear(self.h_num[-1],self.o_num))
        return temp

    # 权重,偏执初始化(参数初始化)
    def _init_weights(self,m):
        if isinstance(m,(nn.Linear,nn.Embedding)):
            m.weight.data.normal_(mean=0.0,std=1e-2)
        elif isinstance(m,nn.BatchNorm1d):
            pass
        elif isinstance(m,LayerNorm):
            m.bias.data.zero_()
            m.weight.data.fill_(1.0)
        if isinstance(m,nn.Linear) and m.bias is not None:
            m.bias.data.zero_()
    # 前向传播
    def forward(self,data):
        out_put=data
        for i_ in range(len(self.Linears)-1):
            out_put=self.Linears[i_](out_put)
            out_put=self.act_f(out_put) # 激活

        out_put=self.Linears[-1](out_put)
        # out_put=nn.Softmax()(out_put)
        return out_put

2.2.2 训练模型

# 测试模型
def test(data,label,FFN,args):
    loss_f=get_loss(args)
    data_train=torch.tensor(data[0])
    label_train=torch.tensor(label[0],dtype=torch.long)
    best_evel_result=[]
    # 优化器
    betas = (args.adam_beta1, args.adam_beta2)
    optim = Adam(FFN.parameters(), lr = args.lr, betas = betas, weight_decay = args.weight_decay)
    train_es=[]
    train_ls=[]
    for b_ in range(math.ceil(len(data_train) / args.batch_size)):
        train_e = data_train[b_ * args.batch_size:(b_ + 1) * args.batch_size, :]
        train_l=label_train[b_*args.batch_size:(b_+1)*args.batch_size]
        train_es.append(train_e)
        train_ls.append(train_l)

    data_eval = [torch.tensor(data[1])]
    label_eval = torch.tensor(label[1], dtype=torch.long)


    data_test = [torch.tensor(data[1])]
    label_test = torch.tensor(label[1], dtype=torch.long)

    train_losses=[]
    test_losses=[]

    es=0
    if args.do_eval==True:
        model_path=args.model_path
        if os.path.exists(model_path):
            FFN.load_state_dict(torch.load(model_path))
            FFN.eval()
            print("load {} the best model for testing!".format(args.model_path))
            for b_, test_e in tqdm(enumerate(data_test), total=len(data_test),
                                   desc=set_color(f"Testing ", 'pink'), ):
                output = FFN(test_e)
                # print(b_,data_train.shape,train_e.shape)
                loss = loss_f(output, label_test)
            time.sleep(0.5)
            print("test loss:{:.4f}".format(loss))
        else:
            raise ValueError("no model for testing!")

    else:
        for e_ in range(args.epoch):
            FFN.train()
            for b_,train_e in tqdm(enumerate(train_es),total=len(train_es),desc=set_color(f"Training {e_:>5}", 'pink'),):
                output=FFN(train_e)
                # print(b_,data_train.shape,train_e.shape)
                if b_==0:
                    loss=loss_f(output,train_ls[b_])
                else:
                    loss+= loss_f(output,train_ls[b_])

            if torch.isnan(loss):
                raise ValueError("loss is nan")

            train_losses.append(loss)

            optim.zero_grad()
            loss.backward()
            optim.step()
            # time.sleep(0.5)
            print("epoch: {0} training loss:{1:.4f}".format(e_,loss))
            # time.sleep(0.5)

            FFN.eval()
            for b_,eval_e in tqdm(enumerate(data_eval),total=len(data_eval),desc=set_color(f"Valid {e_:>5}", 'pink'),):
                output=FFN(eval_e)

                # print(b_,data_train.shape,train_e.shape)
                loss=loss_f(output,label_eval)
            test_losses.append(loss)
            # time.sleep(0.5)

            if len(best_evel_result)==0:
                best_evel_result.append(loss)
                print("the valid loss is descending:{:.4f},save the best model".format(loss))
                torch.save(FFN.cpu().state_dict(), args.model_path)
            elif best_evel_result[0]<loss:
                print("early stop :{}".format(es))
                es+=1
            else:
                print("the valid loss is descending:{:.4f},save the best model".format(loss))
                torch.save(FFN.cpu().state_dict(), args.model_path)

            # 判断早停
            if es==args.early_stop:
                break
        # 绘制loss函数的图像
        if args.batch_size==256:
            draw_plot(torch.tensor([train_losses,test_losses]).detach().cpu().numpy().tolist())

        #测试集效果
        FFN.load_state_dict(torch.load(args.model_path))
        for b_, test_e in tqdm(enumerate(data_test), total=len(data_test), desc=set_color(f"Testing ", 'pink'), ):
            output = FFN(test_e)

            # print(b_,data_train.shape,train_e.shape)
            loss = loss_f(output, label_test)
        print("test loss:{:.4f}".format(loss.detach().cpu().numpy().tolist()))
        return loss

2.2.3 实验结果

(1)训练和验证Loss随迭代次数的变化折线图

image.png

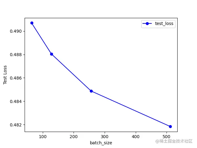
(2)测试Loss随batch_size的变化折线图

image.png

3.参考资料

[1] 苏大机器学习课程

[2] 完整代码