用 JS 实现一个 LRU 缓存

1,141 阅读3分钟

手写 LRU

题目

用 JS 实现一个 LRU 缓存

LRU 使用

Least Recently Used 最近最少使用
即淘汰掉最近最少使用的数据,只保留最近经常使用的资源。它是一个固定容量的缓存容器。

const lruCache = new LRUCache(2); // 最大缓存长度 2
lruCache.set(1, 1); // 缓存是 {1=1}
lruCache.set(2, 2); // 缓存是 {1=1, 2=2}
lruCache.get(1);    // 返回 1
lruCache.set(3, 3); // 该操作会使得关键字 2 作废,缓存是 {1=1, 3=3}
lruCache.get(2);    // 返回 null
lruCache.set(4, 4); // 该操作会使得关键字 1 作废,缓存是 {4=4, 3=3}
lruCache.get(1);    // 返回 null
lruCache.get(3);    // 返回 3
lruCache.get(4);    // 返回 4

分析

  • 哈希表,即 { k1: v1, k2: v2, ... } 形式。可以 O(1) 事件复杂度存取 key value
  • 有序。可以根据最近使用情况清理缓存

JS 内置的数据结构类型 Object Array Set Map ,恰好 Map 符合这两条要求

Map 是有序的

Map 有序,Object 无序

实现

export default class LRUCache {
    private length: number
    private data: Map<any, any> = new Map()

    constructor(length: number) {
        if (length < 1) throw new Error('invalid length')
        this.length = length
    }

    set(key: any, value: any) {
        const data = this.data

        if (data.has(key)) {
            data.delete(key)
        }
        data.set(key, value)

        if (data.size > this.length) {
            // 如果超出了容量,则删除 Map 最老的元素
            const delKey = data.keys().next().value
            data.delete(delKey)
        }
    }

    get(key: any): any {
        const data = this.data

        if (!data.has(key)) return null

        const value = data.get(key)

        data.delete(key)
        data.set(key, value)

        return value
    }
}

// const lruCache = new LRUCache(2)
// lruCache.set(1, 1) // {1=1}
// lruCache.set(2, 2) // {1=1, 2=2}
// console.info(lruCache.get(1)) // 1 {2=2, 1=1}
// lruCache.set(3, 3) // {1=1, 3=3}
// console.info(lruCache.get(2)) // null
// lruCache.set(4, 4) // {3=3, 4=4}
// console.info(lruCache.get(1)) // null
// console.info(lruCache.get(3)) // 3 {4=4, 3=3}
// console.info(lruCache.get(4)) // 4 {3=3, 4=4}

注意,get set 时都要把操作数据移动到 Map 最新的位置。

扩展

实际项目中可以使用第三方 lib

连环问:不用 Map 如何实现 LRU cache ?

LRU cache 是很早就有的算法,而 Map 仅仅是这几年才加入的 ES 语法。

使用 Object 和 Array

根据上文的分析,两个条件

  • 哈希表,可以用 Object 实现
  • 有序,可以用 Array 实现
// 执行 lru.set('a', 1) lru.set('b', 2) lru.set('c', 3) 后的数据

const obj1 = { value: 1, key: 'a' }
const obj2 = { value: 2, key: 'b' }
const obj3 = { value: 3, key: 'c' }

const data = [obj1, obj2, obj3]
const map = { 'a': obj1, 'b': obj2, 'c': obj3 }

模拟 get set 操作,会发现几个问题,都来自于数组

  • 超出 cache 容量时,要移除最早的元素,数组 shift 效率低
  • 每次 get set 时都要把当前元素移动到最新的位置,数组 splice 效率低

Array 改为双向链表

数组有问题,就需要使用新的数据结构 双向链表

Interface INode {
    value: any
    next?: INode
    prev?: INode
}

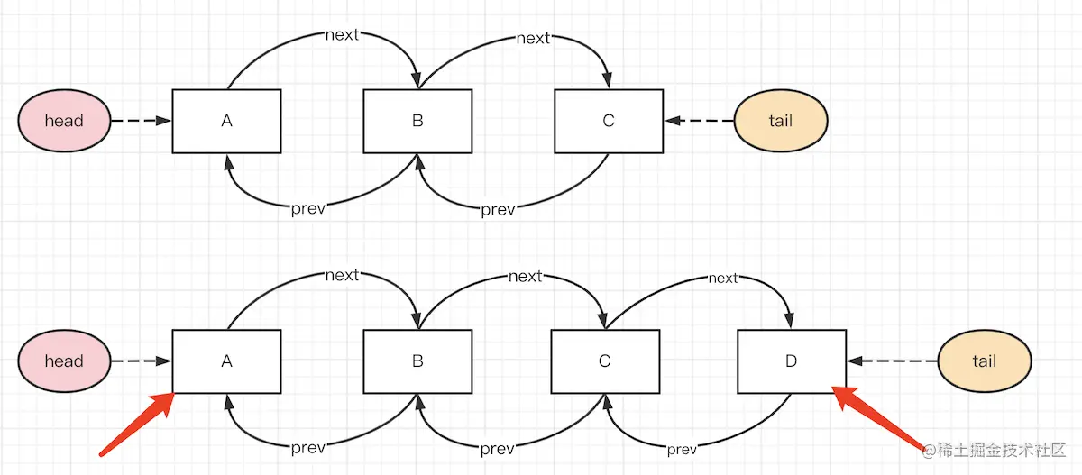
双向链表可以快速移动元素。末尾新增元素 D 很简单,开头删除 A 元素也很简单。

双向链表-1.png

要把中间的元素 B 移动到最后(如 LRU set get 时移动数据位置),只需要修改前后的指针即可,效率很高。

双向链表-2.png

实现

interface IListNode {
    value: any
    key: string // 存储 key ,方便删除(否则删除时就需要遍历 this.data )
    prev?: IListNode
    next?: IListNode
}

export default class LRUCache {
    private length: number
    private data: { [key: string]: IListNode } = {}
    private dataLength: number = 0
    private listHead: IListNode | null = null
    private listTail: IListNode | null = null

    constructor(length: number) {
        if (length < 1) throw new Error('invalid length')
        this.length = length
    }

    private moveToTail(curNode: IListNode) {
        const tail = this.listTail
        if (tail === curNode) return

        // -------------- 1. 让 prevNode nextNode 断绝与 curNode 的关系 --------------
        const prevNode = curNode.prev
        const nextNode = curNode.next
        if (prevNode) {
            if (nextNode) {
                prevNode.next = nextNode
            } else {
                delete prevNode.next
            }
        }
        if (nextNode) {
            if (prevNode) {
                nextNode.prev = prevNode
            } else {
                delete nextNode.prev
            }

            if (this.listHead === curNode) this.listHead = nextNode
        }

        // -------------- 2. 让 curNode 断绝与 prevNode nextNode 的关系 --------------
        delete curNode.prev
        delete curNode.next

        // -------------- 3. 在 list 末尾重新建立 curNode 的新关系 --------------
        if (tail) {
            tail.next = curNode
            curNode.prev = tail
        }
        this.listTail = curNode
    }

    private tryClean() {
        while (this.dataLength > this.length) {
            const head = this.listHead
            if (head == null) throw new Error('head is null')
            const headNext = head.next
            if (headNext == null) throw new Error('headNext is null')

            // 1. 断绝 head 和 next 的关系
            delete headNext.prev
            delete head.next

            // 2. 重新赋值 listHead
            this.listHead = headNext

            // 3. 清理 data ,重新计数
            delete this.data[head.key]
            this.dataLength = this.dataLength - 1
        }
    }

    get(key: string): any {
        const data = this.data
        const curNode = data[key]

        if (curNode == null) return null

        if (this.listTail === curNode) {
            // 本身在末尾(最新鲜的位置),直接返回 value
            return curNode.value
        }

        // curNode 移动到末尾
        this.moveToTail(curNode)

        return curNode.value
    }

    set(key: string, value: any) {
        const data = this.data
        const curNode = data[key]

        if (curNode == null) {
            // 新增数据
            const newNode: IListNode = { key, value }
            // 移动到末尾
            this.moveToTail(newNode)

            data[key] = newNode
            this.dataLength++

            if (this.dataLength === 1) this.listHead = newNode
        } else {
            // 修改现有数据
            curNode.value = value
            // 移动到末尾
            this.moveToTail(curNode)
        }

        // 尝试清理长度
        this.tryClean()
    }
}

// const lruCache = new LRUCache(2)
// lruCache.set('1', 1) // {1=1}
// lruCache.set('2', 2) // {1=1, 2=2}
// console.info(lruCache.get('1')) // 1 {2=2, 1=1}
// lruCache.set('3', 3) // {1=1, 3=3}
// console.info(lruCache.get('2')) // null
// lruCache.set('4', 4) // {3=3, 4=4}
// console.info(lruCache.get('1')) // null
// console.info(lruCache.get('3')) // 3 {4=4, 3=3}
// console.info(lruCache.get('4')) // 4 {3=3, 4=4}

注意事项

  • 数据结构如何定义,data 和链表分别存储什么
  • 双向链表的操作(非常繁琐,写代码很容易出错,逻辑一定要清晰!!!)
  • 链表 node 中要存储 data.key ,否则删除 data 需要遍历、效率低