【3】感知机结构与反向传播推导

795 阅读7分钟

本文已参与「新人创作礼」活动,一起开启掘金创作之路。

1.一层感知机结构输出

这个结构的含义是,n个x的输入,经过n个w的权值,进行一个线性的叠加求和∑XW得到一个输出结果x1_0,由于是一层的感知机,所以这一层的输出结果只有一个x1_0(1表示的第一层,0表示这一层的第0个);然后经过一个激活函数输出为O1_0,然后与一个随机生成的值t,求这个t与输出O1_0的损失值,然后先后传播更新权值w

在这里插入图片描述

数学推导

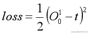
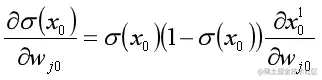
图中的E相当于一个loss,其中X1_0表达第一层的第一个的直接输出,既x*w的线性叠加也就是∑XW;而紧随其后的O1_0表示第一层的第一经过激活函数的输出;而对于单层的感知机来说,随机初始化一个t计算其损失函数为:

在这里插入图片描述

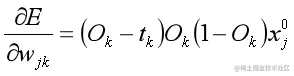
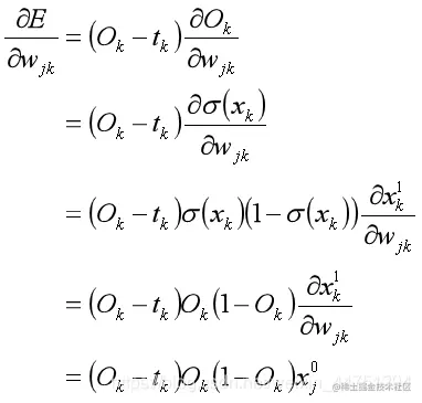
对某一个权值W_j0进行更新的数学推导过程如下:

在这里插入图片描述

其中,根据Sigmoid函数导数与函数的关系:

在这里插入图片描述

所以以下对上诉两步关键进行解释: 在这里插入图片描述

在这里插入图片描述

所以,对于单层的感知机结构,对于某一个权值的求导,至于其相连接的x0_j与通过激活函数的输出O相关,其表达式为:

在这里插入图片描述

代码测试
# 单层感知机的验证例程
x = torch.arange(1.,10.).view(1,9)  # 设置输入为0-9的连续数据
w = torch.rand(1,9)      # 设置权值为随机的0-1分布数据
# tensor([[0.1921, 0.1720, 0.9273, 0.5683, 0.8436, 0.1845, 0.4446, 0.1225, 0.0567]],requires_grad=True)
y = torch.rand(1)+15     # 设置一个预测值y
loss = F.mse_loss(y,x@w.t())
# 使用autograd.grad来求导
torch.autograd.grad(loss,[w])   
# 输出为:(tensor([[0.1385, 0.2769, 0.4154, 0.5538, 0.6923, 0.8307, 0.9692, 1.1077, 1.2461]]),)

# 使用backward函数来验证
loss = F.mse_loss(y,x@w.t())
loss.backward()
w.grad
# 输出为:tensor([[0.1385, 0.2769, 0.4154, 0.5538, 0.6923, 0.8307, 0.9692, 1.1077, 1.2461]])

# 进行手动验证
for i in range(0,9):
    print(2*(x@w.t()-y)*x[0][i])
    tensor([[0.1385]], grad_fn=<MulBackward0>)
# tensor([[0.2769]], grad_fn=<MulBackward0>)
# tensor([[0.4154]], grad_fn=<MulBackward0>)
# tensor([[0.5538]], grad_fn=<MulBackward0>)
# tensor([[0.6923]], grad_fn=<MulBackward0>)
# tensor([[0.8307]], grad_fn=<MulBackward0>)
# tensor([[0.9692]], grad_fn=<MulBackward0>)
# tensor([[1.1077]], grad_fn=<MulBackward0>)
# tensor([[1.2461]], grad_fn=<MulBackward0>)
# 结果证明,与手动的验证是一样的

2.多层感知机结构输出

多层感知机的结构是在第一层中有多(m)个的输出而不是仅仅一个输出,对于n个的输入,每一个的输入配对一组权值w会构成一个线性叠加的输出x,而对于多层感知机来说,也就是会有多组权值,构成多组线性叠加的输出;

在这里插入图片描述

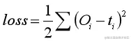
如图所示,n个输入,有m组权值与其进行线性叠加,构成了第一层的m个输出。而后,这些m个输出通过激活函数变成m个非线性的输出,这些输出与m个随机生成的t数据构成一个损失函数loss,在多层感知机中,loss是需要求和的.

数学推导

loss的表达式如下所示:

在这里插入图片描述

得到了损失函数之后,反过来会对前面的每一组权值求导进行更新,这个是就是多层感知机优化的过程

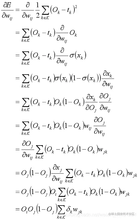
知道了损失函数,现在求多层感知机中对某一个权值W_j0进行更新的数学推导过程如下:

在这里插入图片描述

所以,对于多层的感知机结构,对于某一个权值wjk的求导,也就是对于x0_j相连的且为第k组,控制第k个输出的权值,其求导的结果是至于这个x0_j的输入与第k个通过激活函数的输出Ok有关,其表达式为:

在这里插入图片描述

代码测试
# 多层感知机的验证例程
x = torch.arange(1.,10.).view(1,9)
w = torch.rand(3,9).requires_grad_()
# 其中x@w.t()为:tensor([[24.4711, 14.6388, 21.9789]], grad_fn=<MmBackward>)
y = torch.rand(1,3)+18
# 预测值为:tensor([[18.3916, 18.7910, 18.4638]])
loss = F.mse_loss(y,x@w.t())
torch.autograd.grad(loss,w,retain_graph=True)
# (tensor([[  4.0530,   8.1059,  12.1589,  16.2118,  20.2648,  24.3178,  28.3707,  32.4237,  36.4767],
#          [ -2.7681,  -5.5362,  -8.3043, -11.0724, -13.8404, -16.6085, -19.3766,  -22.1447, -24.9128],
#          [  2.3434,   4.6868,   7.0302,   9.3737,  11.7171,  14.0605,  16.4039,  18.7473,  21.0907]]),)
# 直接求解出了w的全部梯度

3.反向传播过程

数学推导

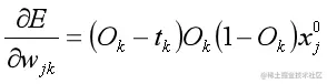
由前两节可以得出,对于没有隐藏层的神经网络结构来说,对某一个权值wj_k的求解表达式为:

在这里插入图片描述

在这里插入图片描述

但是一般来说,神经网络不会只有输入与输出层,一般内含多层隐藏层结构,如图所示:

在这里插入图片描述

其中最左侧的x0_i表达是第i层的输出,也可以看做是第j层的输入

在这里插入图片描述 只看左半部分,其权值wj_k可以使用上节所推导的公式:

在这里插入图片描述 在这里插入图片描述

其中,由于只与其连接的输入OJ_j与输出Ok由于,所以,其中涉及Ok的表达式可以另外表示为: 在这里插入图片描述 在这里插入图片描述

求连接j层与k层的权值wj_k利用上一节的公式还是比较容易求出来的,现在还需要求连接i层与j层的权值wi_j:

在这里插入图片描述

由于,可以知道

  • 对于一个输出层的节点k∈K来说

在这里插入图片描述 在这里插入图片描述

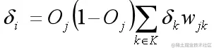
  • 对于一个隐层层的节点j∈J来说

在这里插入图片描述 在这里插入图片描述

得到以上的两条公式,就可以不断的迭代到第一层,实现了整个的神经网络结构的后向传播计算。

函数优化示例

需要优化的函数为:

在这里插入图片描述

# 导入可能需要的函数
import matplotlib.pyplot as plt
from mpl_toolkits.mplot3d import Axes3D  # 导入Axes3D类
import numpy as np
%matplotlib inline

# 定义好优化含糊
def f(x):
    return (x[0] ** 2 + x[1] - 11) ** 2 + (x[0] + x[1] ** 2 - 7) ** 2

# 设置参数
x = torch.arange(-6,6,0.1)
y = torch.arange(-6,6,0.1)
# x.shape,y.shape:(torch.Size([120]), torch.Size([120]))
# 对x、y数据执行网格化
X,Y = np.meshgrid(x,y)
Z = f([X,Y])
# X.shape,Y.shape,Z.shape:((120, 120), (120, 120), (120, 120))

# 以下开始画图
# figure(num=None, figsize=None, dpi=None, facecolor=None, edgecolor=None, frameon=True)
# num:图像编号或名称,数字为编号 ,字符串为名称
# figsize:指定figure的宽和高,单位为英寸;
# dpi参数指定绘图对象的分辨率,即每英寸多少个像素,缺省值为80      1英寸等于2.5cm,A4纸是 21*30cm的纸张 
# facecolor:背景颜色
# edgecolor:边框颜色
# frameon:是否显示边框
fig = plt.figure(figsize=(10,10),num='Test_Function',frameon=True,facecolor='white')

# fig.gca是获取图中的当前极轴。如果不存在,或者不是极轴,则将创建相应的轴,然后返回。
# 此时得到的ax对象的类型是Axes3D的子类,这个对象将是绘制3D图形的入口
ax = fig.gca(projection = '3d')

# 绘制3D图形
# plot_surface(X, Y, Z, *args, norm=None, vmin=None, vmax=None, lightsource=None, **kwargs) 
ax.plot_surface(X,Y,Z)

# 设置Z轴范围
ax.set_zlim(-100, 2000)

# 调整角度函数,第一个参数50调整上下角度,正数是向上调,负数是向下调
# 第二个参数-50调整左右角度,正数是向左调整,负数是向右调整
ax.view_init(50,-50)
# 设置标签
ax.set_xlabel('X_label')
ax.set_ylabel('Y_label')
# 由于使用了魔法指令%matplotlib inline,这函数可有可无,去掉也是可以的
plt.show()

在这里插入图片描述

# 设置(x,y)的初始值
x = torch.tensor([0.,0.],requires_grad = True)
# torch.optim.Adam可以实现Adam算法
# torch.optim.Adam(params, lr=0.001, betas=(0.9, 0.999), eps=1e-08, weight_decay=0)[source]
# 第一个参数:params (iterable) – 待优化参数的iterable或者是定义了参数组的dict
# 第二个参数:lr (float, 可选) – 学习率(默认:1e-3)
optimizer = torch.optim.Adam([x],lr = 1e-3)

# 迭代计算20000次
for step in range(20000):
    # 根据初始化的(x,y)得出一个预测值
    pred = f(x)
    
    # 梯度信息设置为0
    optimizer.zero_grad()
    
    # 直接生成x与y的梯度信息,随后再进行更新
    pred.backward()
    
    # 权值更新一次以下过程
    # x' = x - lr * delta
    # y' = y - lr * delta
    optimizer.step()
    
    if step % 2000 ==0:
        print(f"step {step}: x = {x.tolist()} f(x) = {pred.item()}")

# 得出最后结果:step 18000: x = [3.0, 2.0] f(x) = 0.0
# 由于所设置的函数全局最小点有4个相同的点,所以此处的初始值只找到了中的一个全局最小解。
# 当设置为(-4,0)或者是(4,0)的时候会另外再找出其他的两个解
step 0: x = [0.0009999999310821295, 0.0009999999310821295] f(x) = 170.0
step 2000: x = [2.3331806659698486, 1.9540694952011108] f(x) = 13.730916023254395
step 4000: x = [2.9820079803466797, 2.0270984172821045] f(x) = 0.014858869835734367
step 6000: x = [2.999983549118042, 2.0000221729278564] f(x) = 1.1074007488787174e-08
step 8000: x = [2.9999938011169434, 2.0000083446502686] f(x) = 1.5572823031106964e-09
step 10000: x = [2.999997854232788, 2.000002861022949] f(x) = 1.8189894035458565e-10
step 12000: x = [2.9999992847442627, 2.0000009536743164] f(x) = 1.6370904631912708e-11
step 14000: x = [2.999999761581421, 2.000000238418579] f(x) = 1.8189894035458565e-12
step 16000: x = [3.0, 2.0] f(x) = 0.0
step 18000: x = [3.0, 2.0] f(x) = 0.0