图像中里面的Ground Truth是什么意思

1,217 阅读2分钟

本文已参与「新人创作礼」活动,一起开启掘金创作之路。

经常会在一些项目中,遇到Ground Truth,例如把其中的某种图像类型叫做Ground True, 下面介绍一下:

一、Ground True的介绍

下从机器学习说起,什么叫做Ground True,毕竟深度学习也是机器学习的一个分支;

机器学习包括

  • 有监督学习(supervised learning)
  • 无监督学习(unsupervised learning)
  • 半监督学习(semi-supervised learning)

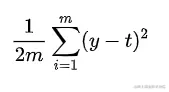
有监督学习中,数据是有标注的,以(x, t)的形式出现,其中x是输入数据,t是标注.正确的t标注ground truth, 错误的标记则不是。(也有人将所有标注数据都叫做ground truth)由模型函数的数据则是由(x, y)的形式出现的。其中x为之前的输入数据,y为模型预测的值标注会和模型预测的结果作比较。在损耗函数(loss function / error function)中会将y 和 t 作比较,从而计算损耗(loss / error)。 比如在最小方差中: 在这里插入图片描述 因此如果标注数据不是ground truth,那么loss的计算将会产生误差,从而影响到模型质量。 比如输入三维,判断是否性感:

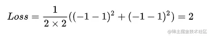
1、 错误的数据 标注数据1 ( (84,62,86) , 1),其中x =(84,62,86), t = 1 。 标注数据2 ( (84,162,86) , 1),其中x =(84,162,86), t = 1 。 (这里的t=1 标签是错误的,正确应该是 -1) 这里标注数据1是ground truth, 而标注数据2不是。

预测数据1 y = -1 预测数据2 y = -1

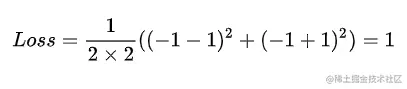
预测的结果和数据标注打的便签计算损失: 在这里插入图片描述 2、 正确的数据 标注数据1 ( (84,62,86) , 1),其中x =(84,62,86), t = 1 。 标注数据2 ( (84,162,86) , 1),其中x =(84,162,86), t = -1 。 (改为ground truth) 这里标注数据1和2都是ground truth。

预测数据1 y = -1 预测数据2 y = -1 在这里插入图片描述 由于使用错误的数据,对模型的估计比实际要糟糕。另外,标记数据还被用来更新权重,错误标记的数据会导致权重更新错误。因此使用高质量的数据是很有必要的。在半监督学习中,对标记数据也要进行比较。


=='总结成一句话:'== Ground Truth: 就是指正确打标签的训练数据简单来说就是有效的正确的数据

二、图像中的Ground True的介绍

例如在一些抠图的项目中,很多人就把Alpha图叫做Ground Truth,Alpha就可以理解成是输入的原始图片对应的Alpha图,也就是原始图对应的标签,或者说是给原始图片用Alpha打了一个标签,而正确的对应于原图的Alpha图就是 Ground Truth 。