PMP考试易混淆知识点概念+混淆图(附上备考资料总集)

336 阅读3分钟

| PMP知识点整合合集:

一篇足以:吐血分享史上超全PMP考试资料、项目管理资料

| 混淆概念

德尔菲技术

德尔菲技术是组织专家达成一致意见的一种方法。项目专家匿名参与其中。组织者使用调查问卷就重要的项目议题征询意见,然后对专家的答卷进行归纳,并把结果反馈给专家做进一步评论。这个过程反复几轮后,就可能达成一致意见。德尔菲技术有助于减轻数据的偏倚,防止任何个人对结果产生不恰当的影响。

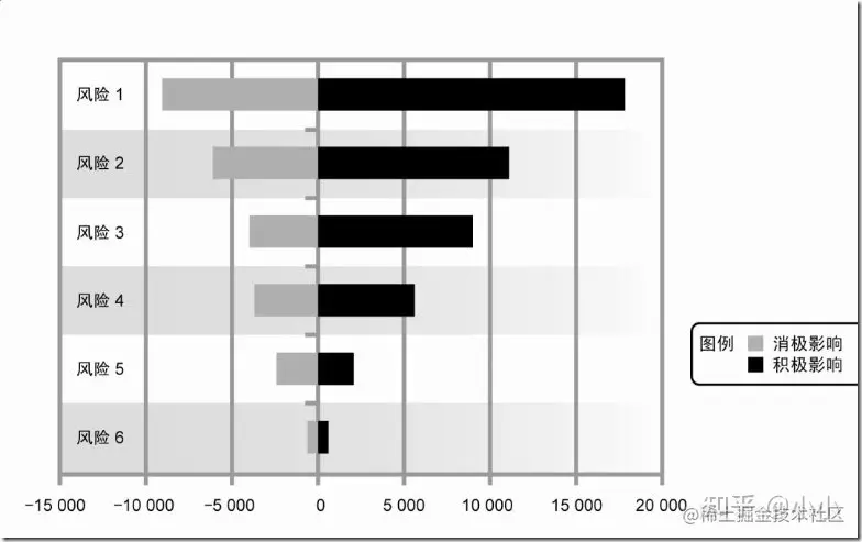
敏感性分析

敏感性分析有助于确定哪些风险对项目具有最大的潜在影响。它有助于理解项目目标的变化与各种不确定因素的变化之间存在怎样的关联。把所有其他不确定因素固定在基准值,考察每个因素的变化会对目标产生多大程度的影响。敏感性分析的典型表现形式是龙卷风图。

蒙特卡洛模拟

基于单项任务的成本和进度的概率分布,模拟出成百上千种可能结果的过程,然后应用这些结果生成项目整体层面的概率分布。

RACI

责任分配矩阵的一种常见类型,使用执行、负责、咨询和知情等词语来定义干系人在项目活动中的参与状态。

滚动式规划

一种迭代式的规划技术,对近期要完成的工作进行详细规划,对远期工作只做粗略规划。

趋势分析

检查项目绩效随时间的变化情况,以确定绩效是在改善还是在恶化。图形分析技术有助于理解当前绩效,并与未来的目标绩效(表示为完工日期)进行对比。

预期货币价值分析

当某些情况在未来可能发生或不发生时,计算平均结果的一种统计技术。常在决策树分析中使用。

团队建设五个阶段

形成阶段。在本阶段,团队成员相互认识,并了解项目情况及他们在项目中的正式角色与职责。团队成员倾向于相互独立,不一定开诚布公。

震荡阶段。在本阶段,团队开始从事项目工作,制定技术决策和讨论项目管理方法。如果团队成员不能用合作和开放的态度对待不同观点和意见,团队环境可能变得事与愿违。

规范阶段。在规范阶段,团队成员开始协同工作,并调整各自的工作习惯和行为来支持团队,团队成员开始相互信任。

成熟阶段。进入这一阶段后,团队就像一个组织有序的单位那样工作。团队成员之间相互依靠,平稳高效地解决问题

解散阶段。在解散阶段,团队完成所有工作,团队成员离开项目。通常在项目可交付成果完成之后,再释放人员,解散团队;或者,在结束项目或阶段过程(见4.6节)中解散团队。

| 混淆图

鱼骨图(石川图、因果图)

鱼骨图是由日本管理大师石川馨先生发明,所以也叫石川图。

龙卷风图

龙卷风图是项目管理中用于在风险识别和定性分析之后,进行定量风险分析的技术----敏感性分析技术中最常用的一种图表技术。有助于比较具有较高不确定性的变量与相对稳定的变量之间的相对重要程度.