剑指 Offer II 029. 排序的循环链表

65 阅读1分钟

剑指 Offer II 029. 排序的循环链表

  • 给定循环单调非递减列表中的一个点,写一个函数向这个列表中插入一个新元素 insertVal ,使这个列表仍然是循环升序的。
  • 给定的可以是这个列表中任意一个顶点的指针,并不一定是这个列表中最小元素的指针。
  • 如果有多个满足条件的插入位置,可以选择任意一个位置插入新的值,插入后整个列表仍然保持有序。
  • 如果列表为空(给定的节点是 null),需要创建一个循环有序列表并返回这个节点。否则。请返回原先给定的节点。

示例 1:

输入: head = [], insertVal = 1
输出: [1]
解释: 列表为空(给定的节点是 null),创建一个循环有序列表并返回这个节点。

所以代码中需要作出极端处理

  var node = new Node(n, null);
  if (head === null) {
    node.next = node;
    return node;
  }
  /**
 * function Node(val, next) {
 *     this.val = val;
 *     this.next = next;
 * };
 */

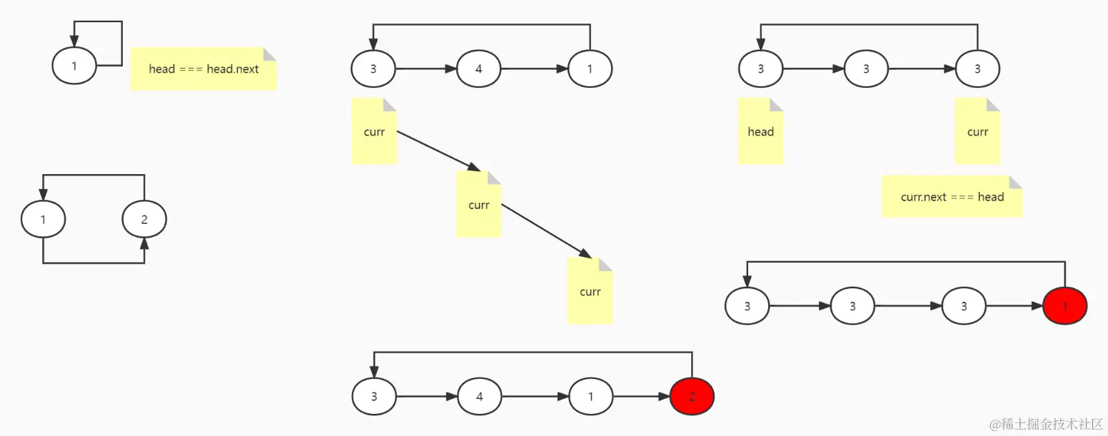
示例 2:

image.png

输入:head = [3,4,1], insertVal = 2
输出:[3,4,1,2]
解释:在上图中,有一个包含三个元素的循环有序列表,你获得值为 3 的节点的指针,我们需要向表中插入元素 2 。新插入的节点应该在 1 和 3 之间,插入之后,整个列表如上图所示,最后返回节点 3 。

示例 3:

输入: head = [1], insertVal = 0
输出: [1,0]

示例 4:

输入: head = [3,3,3], insertVal = 0
输出: [3,3,3,0]

代码实现

/**
 * function Node(val, next) {
 *     this.val = val;
 *     this.next = next;
 * };
 */
var insert = function (head, n) {
  var node = new Node(n, null);
  if (head == null) {
    node.next = node;
    return node;
  }
  if (head.next == head) {
    head.next = node;
    node.next = head;
    return head;
  }
  var curr = head;
  while (curr) {
    if (curr.val > curr.next.val) {
      if (n >= curr.val || n <= curr.next.val) {
        var next = curr.next;
        curr.next = node;
        node.next = next;
        return head;
      }
    } else if (n >= curr.val && n <= curr.next.val) {
      var next = curr.next;
      curr.next = node;
      node.next = next;
      return head;
    }
    curr = curr.next;
    if (curr.next == head) {
      var next = curr.next;
      curr.next = node;
      node.next = next;
      return head;
    }
  }
};

流程分析

image.png