本文已参与「新人创作礼」活动,一起开启掘金创作之路。
pytorch系列 -- pytorch nn.init 中实现的初始化函数 uniform, normal, const, Xavier, He initialization
本文内容:
1、Xavier 初始化
2、nn.init 中各种初始化函数
3、He 初始化
torch.init https://pytorch.org/docs/stable/nn.html#torch-nn-init
-
均匀分布
torch.nn.init.uniform_(tensor, a=0, b=1) 服从~U ( a , b )
-
正太分布
torch.nn.init.normal_(tensor, mean=0, std=1) 服从~N(mean, std)
-
初始化为常数
torch.nn.init.constant_(tensor, val) 初始化整个矩阵为常数val
-
Xavier
基本思想是通过网络层时,输入和输出的方差相同,包括前向传播和后向传播。具体详情见下:
1、为什么需要Xavier 初始化?

简答的说就是:
-
如果初始化值很小,那么随着层数的传递,方差就会趋于0,此时输入值 也变得越来越小,在sigmoid上就是在0附近,接近于线性,失去了非线性
-
如果初始值很大,那么随着层数的传递,方差会迅速增加,此时输入值变得很大,而sigmoid在大输入值写倒数趋近于0,反向传播时会遇到梯度消失的问题
其他的激活函数同样存在相同的问题。 prateekvjoshi.com/2016/03/29/…
所以这个方法的提出,以保证在每一层网络保证输入和输出的方差相同。
2、xavier初始化的简单推导
对于Xavier初始化方式,pytorch提供了uniform和normal两种:
-
torch.nn.init.xavier_uniform_(tensor, gain=1)均匀分布 ~ U ( − a , a ) 其中, a的计算公式: -
torch.nn.init.xavier_normal_(tensor, gain=1)正态分布~ N(0,std) 其中std的计算公式:
3、kaiming (He initialization)
Xavier在tanh中表现的很好,但在Relu激活函数中表现的很差,所何凯明提出了针对于Relu的初始化方法。 Delving deep into rectifiers: Surpassing human-level performance on ImageNet classification He, K. et al. (2015) 该方法基于He initialization,其简单的思想是: 在ReLU网络中,假定每一层有一半的神经元被激活,另一半为0,所以,要保持方差不变,只需要在 Xavier 的基础上再除以2
也就是说在方差推到过程中,式子左侧除以2. pytorch也提供了两个版本:
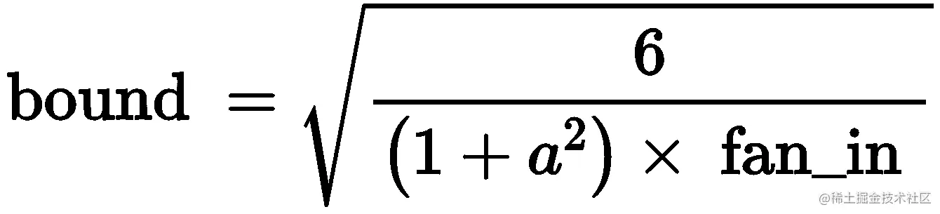
torch.nn.init.kaiming_uniform_(tensor, a=0, mode=‘fan_in’, nonlinearity=‘leaky_relu’), 均匀分布 ~U(−bound,bound) 其中,bound的计算公式:
-
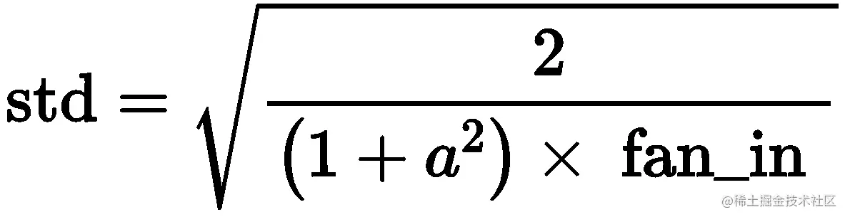
torch.nn.init.kaiming_normal_(tensor, a=0, mode=‘fan_in’, nonlinearity=‘leaky_relu’), 正态分布~ N(0,std)其中,std的计算公式:
两函数的参数:
a:该层后面一层的激活函数中负的斜率(默认为ReLU,此时a=0)mode:‘fan_in’ (default) 或者 ‘fan_out’. 使用fan_in保持weights的方差在前向传播中不变;使用fan_out保持weights的方差在反向传播中不变
针对于Relu的激活函数,基本使用He initialization,pytorch也是使用kaiming 初始化卷积层参数的
\