Opencv学习笔记(四)Sobel算子、Laplance算子和Canny算子的简单应用

1,226 阅读2分钟

本文已参与「新人创作礼」活动,一起开启掘金创作之路。

简介

索贝尔(Sobel)算子

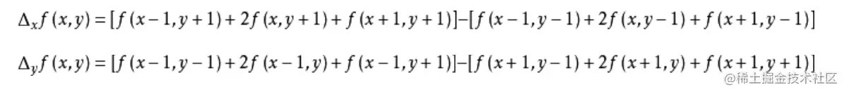
索贝尔算子是计算机视觉领域的一种重要处理方法。主要用于获得数字图像的一阶梯度,常见的应用和物理意义是==边缘检测==。 索贝尔算子不但产生较好的检测效果,而且对噪声具有平滑抑制作用,但是得到的边缘较粗,且可能出现伪边缘。

计算方法:

在这里插入图片描述

使用函数:Sobel()函数

在这里插入图片描述

应用:

部分代码示例:

int main()
{
 Mat src, gray_src,dest;
 src = imread("C:/Users/86159/Desktop/yasina.jpg");
 cvtColor(src, gray_src, COLOR_BGR2GRAY);
 GaussianBlur(gray_src, dest, Size(3, 3), 0, 0);
 Mat dest_x, dest_y;
 Sobel(dest, dest_x, CV_16S, 1, 0, 3);
 Sobel(dest, dest_y, CV_16S, 0, 1, 3);
 convertScaleAbs(dest_x, dest_x);
 convertScaleAbs(dest_y, dest_y);
 Mat dst = Mat(dest.size(), dest.type());
 addWeighted(dest_x, 0.5, dest_y, 0.5, 0, dst);
 bitwise_not(dst, dst);
 namedWindow("原图", WINDOW_AUTOSIZE);
 moveWindow("原图", 50, 0);
 imshow("原图", src);
 namedWindow("效果图", WINDOW_AUTOSIZE);
 moveWindow("效果图", 800, 0);
 imshow("效果图", dst);
 waitKey(0);
 return 0;
}

效果: 在这里插入图片描述 ==特别注明:== Sobel获取到的x和y方向的图像混合不一定要用 addWeighted(),可根据要求自定义最佳的算法,下面给出示例(G=sqrt(Gx^2 +Gy^2)):

Mat dst = Mat(dest.size(), dest.type());
 int width = dest_x.cols;
 int heigth = dest_y.rows;
 for (int row = 0; row < heigth; row++)
 {
	 for (int col = 0; col < width; col++)
	 {
	 int x = pow(dest_x.at<uchar>(row, col),2);
  	 int y = pow(dest_y.at<uchar>(row, col),2);
  	 int xy =sqrt(x + y);
  	 dst.at<uchar>(row, col) = xy;
  	 }
  }

拉普拉斯(Laplance)算子

理论:在二阶导数的时候,最大变化处的值为零即边缘是零值。通过二阶导数计算,依据此理论我们可以计算图像二阶导数,提取边缘。

用法与上述的Sobel算子相似,我们使用==Laplacian()函数==,但是值得注意的,Laplacian()函数的输入参数须为灰度图像。

下面给出部分代码示例(其余同上):

 Mat src, gray_src,dest;
 src = imread("C:/Users/86159/Desktop/yasina.jpg");
 GaussianBlur(src, gray_src, Size(3, 3), 0, 0);
 cvtColor(gray_src, gray_src, COLOR_BGR2GRAY);
 Laplacian(gray_src, dest, CV_16S, 3);
 convertScaleAbs(dest, dest);
 imshow("效果图", dest);

Canny算子

Canny算子是于1986年John F.Canny 运用自己创立的边缘检测计算理论(Computational theory ofedge detection)Canny开发出的一个多级边缘检测算法。 一般操作步骤:

1.转换成灰度图像。

2.消除噪声:一般情况下使用高斯平滑滤波器卷积降噪。

3.运用Canny()函数检测边缘。

void Canny ( InputArray image,
OutimageArray edges, double threshold1, double threshold2, int apertureSize=3, bool L2gradient=false ) 在这里插入图片描述 一般高低阈值之比推荐为3:1或2:1.

下面我们用滑动条控制观察检测效果:

部分代码:

Mat src, gray_src, dest, dst;
int t1_value = 50;
int max_value = 255;
void Canny_Demo(int, void*);
int main()
{
 src = imread("C:/Users/86159/Desktop/yasina.jpg");
 namedWindow("原图", WINDOW_AUTOSIZE);
 moveWindow("原图", 50, 0);
 imshow("原图", src);
 namedWindow("效果图", WINDOW_AUTOSIZE);
 moveWindow("效果图", 800, 0);
 cvtColor(src, gray_src, COLOR_BGR2GRAY);
 createTrackbar("Threshold Value:", "效果图", &t1_value, max_value, Canny_Demo);
 Canny_Demo(0, 0);
 waitKey(0);
 return 0;
}
void Canny_Demo(int, void*)
{
 blur(gray_src, dest, Size(3, 3), Point(-1, -1));
 Canny(dest, dst, t1_value, t1_value * 2, 3);
 src.copyTo(dst, dst);
 imshow("效果图", dst);
 }

效果:

在这里插入图片描述