信号完整性(SI)电源完整性(PI)学习笔记(十六)有损线、上升边退化与材料特性(三)

532 阅读8分钟

有损线、上升边退化与材料特性(三)

1.以dB度量的衰减将随着线长度的增加而线性增加。

衰减是个表示有损传输线特殊性质的新术语,它是求解二阶有损RLGC电路模型的直接结果。通常用αn表示单位长度衰减。

在低损耗近似中:

在这里插入图片描述

如果随频率的变化,导线的单位长度串联电阻和由介质引起的单位长度并联电导都是常量,则传输线的衰减当频率变化时也是常量。所有频率感受到的损耗量都是相同的。

2.由于趋肤效应的影响,单位长度串联电阻Rl随着频率的平方根增加;由于介质耗散因子的影响,单位长度并联电导Gl随着频率而线性增加。这意味着衰减也会随着频率的升高而增加,高频率正弦波的衰减要大于低频率正弦波的衰减。这一基本的机理使得当沿着有损线传播时,信号带宽将降低。

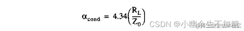
(1)单位长度损耗由两部分组成:导线串联损耗引起的衰减:

在这里插入图片描述

(2)另一部分衰减与介质材料并联损耗有关:

在这里插入图片描述

(3)总的衰减为:

在这里插入图片描述在这里插入图片描述在这里插入图片描述

3.当表面粗糙度与集肤深度相当时,表面的串联电阻将加倍,这意味着表面粗糙度造成的影响会使串联电阻比光滑铜导线所计的值增加了35%。

4.介质引起的衰减仅由材料的耗散因子决定。它不受任何几何结构的影响,完全取决于材料特性。

5.在1GHz时,介质引起的衰减一般比导线引起的稍微大一些,当频率更高时,介质引起衰减增加的速度要比导线引起衰减增加的速度更快。这表明1GHz时,如果介质损耗处于主导地位,更高频时,他就会更重要,而导线损耗则变为次重要。

随着频率的升高,介质引起衰减增加的速度要比导线引起衰减增加的速度更快。

在这里插入图片描述

6.以下是一部分术语的真正定义

(1)**损耗:**这个是总称;它是指有损线的所有方面;

(2)**衰减:**这是专门对传输线上总衰减的度量,他度量出传输信号功率下降(用dB进行度量)或幅度下降(表示成传输信号的比率)当以dB度量时,信号总衰减随着线长的增加呈线性增加;当输出端电压按比率度量时,输出电压随着线长的增加呈指数递减。

(3)单位长度衰减:这是dB度量功率的总衰减,它将线长归一化,只要传输线参数不变,他就是一个常量,它是互连的固有特性,与长度无关。

(4)**耗散因子:**这是所有介质特殊的固有材料特性,它度量了偶极子数目和偶极子在交流场中能够移动距离的远近。它由介质损耗引起,与频率稍微有点关系。

(5)**损耗角:**这是在复平面上,复介电常数向量与实轴之间的夹角。

(6)**tan(δ)**这时候损耗角的正切,也是复介电常数虚部与实部的比值,又称损耗因子。

(7)**介电常数:**这是基本的材料固有特性,他表示了电场与介质的相互作用。其实部表示的是材料如何影响电容,虚部表示的是材料如何影响并联漏电阻。

7.有损传输线的三个特点:

(1)当频率发生变化时特性阻抗是个常量;

(2)当频率变化时速度是个常量;

(3)衰减中有一项与频率的平方根成正比,另一项与频率成正比。

8.模型与测量

在这里插入图片描述

在这里插入图片描述

在这里插入图片描述

在这里插入图片描述在这里插入图片描述

9.测量与仿真的插入损耗非常吻合,这一事实说明可以用这个简单理想有损线传输模型去表征现实中有损线的高频特性。唯一要注意的是对于不同的材料系统,测量其具体的材料特性是很重要的。

10.互连带宽和传输线上的损耗之间有个简单但很重要的关系:线越长,高频损耗越大,线的带宽就越低。传输线的本征3dB带宽BWtl与3dB衰减的那个频率相对应。

用BWtl代替频率f,用3dB代替衰减,则3dB带宽和互连长度之间的关系为:

在这里插入图片描述

上式表明,互连越长,带宽就越窄,有3dB衰减的那个频率也就越低。同理耗散因子值越大,互连带宽就越窄。

11.对于有损互连,如果已知由于材料耗散因子形成的带宽,则可以计算出沿传输线传播后输出波形的本质上升边,即:

在这里插入图片描述在这里插入图片描述

当信号沿传输线传播时,信号的实际上升边将越来越长。互连本征上升边主要取决于线长和叠层材料的耗散因子,它是互连给出的上升边最小值。

12.为了使有损传输线将信号的上升边退化不超过25%,互连本征上升边必须小于输入信号上升边的50%,如果信号的初始上升边为100ps,那么互连本征上升边应小于50ps,若互连本征上升边高于50ps,则输出信号上升边将明显增加。

在这里插入图片描述

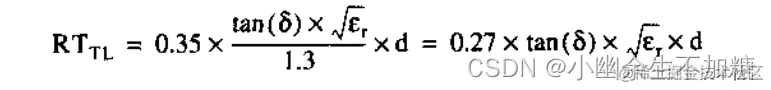
13.将上升边与互联长度联系起来,在这一长度,损耗的影响将很重要。

在这里插入图片描述

这里提出了一个估计传输线损耗的简单经验法则:FR4板上线长(单位in)值大于50*上升边(单位为ns)值时,损耗的影响将起重要的作用。

14.时域行为

理想有损线模型用于预估实际传输线的时域性能时,也是一个很好的模型。此模型的基础就是串联电阻与频率的平方根成正比,而并联电导与频率成正比,这正是大多数实际传输线的反映。

(1)随着频率的变化,如果一个仿真器中电阻器元件模型的电阻是个常量,这个仿真器就不能当成有损线传输线仿真器使用。因为它将会遗漏影响性能的最重要因素。

(2)估计有损传输线影响最有效的方法就是显示传输信号的眼图。

(3)由损耗和其他诸如孔的电容突变引起的符号间干扰将使眼图塌陷。

(4)为了得到可接受的性能,必须改善传输线或采用信号处理技术,以及提高眼图的睁开度。

在这里插入图片描述

在这里插入图片描述

在这里插入图片描述

在这里插入图片描述

15.在电路板设计中有如下3个因素影响眼图质量:

(1)由过孔桩线引起的突变;

(2)导线损耗;

(3)介质损耗。

16.上述这就是影响上升边退化的全部板级要素。

(1)要将那些敏感的传输线设计成具有最小桩线长度的过孔,这可以通过限制层间切换,应用盲孔和埋孔或者反钻掉长桩线加以实现。

(2)减小捕获焊盘的尺寸,同时增大反焊盘出砂孔的大小,从而让过孔,从而让过孔阻抗与50Ω尽量匹配,这将使上升边退化最小值。

17.如果介质厚度改变,以使线阻抗维持不变,则信号走线宽度就是造成导线损耗和衰减的主导因素,增加线宽将降低导线损耗。

18.对于1~5GHz信号对于FR4叠层材料上的走线,为了使衰减最小,最优的走线宽度在5-10mil之间。 若将过孔优化并使线宽保持在10mil以下,则其他能够调节衰减的唯一因素就是叠层材料的耗散因子,耗散因子低,其引起的衰减也低。

19.由于衰减是与频率相关的,因此必须选择一个频率作为参照,通常这个频率就是指奈奎斯特频率,它对应于数据模式的基准时钟频率。奈奎斯特是数据率的1/2。

在一个有损通道中,奈奎斯特频率就是信息中最高的正弦波频率分量。

当奈奎斯特的总衰减约为10dB时,眼图将彻底闭合,以至于大多数数据传输模式将随之失效。

20.针对波形可以有3中预失真的做法,合称为均衡技术。

(1)当尝试滤除低频分量,使其与高频分量的衰减相匹配时,称这种方法是用连续时间线性均衡器均衡通道。如果又为滤波器添加大频率分量的增益以提升其幅度,这种方法称为有源连续时间线性均衡器。

(2)将额外的高频分量添加到发送端的始发信号中,这样当信号边沿到达远端时,这些高频分量又被衰减到与低频分量持平。这种方法称为前馈均衡。

(3)在接收端操作,也能实现相同的效果。这种方法称为判决反馈均衡。

使用任何均衡技术都要求互连的衰减失真是可预测的可重复的,只有在材料特性已知时,才属于这种情况,均衡方法是补偿有损互连的强大技术,适用于所有高端的高速串行链路。