数据结构链表(3)——用双指针法找到链表成环的节点

90 阅读2分钟

(一)需求

之前做过,还是会忘,还是需要认真理解,常看。

(二)双指针

1、用双指针法找到链表成环的节点题目

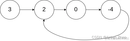
给定一个链表的头节点 head ,返回链表开始入环的第一个节点。 如果链表无环,则返回 null。

如果链表中有某个节点,可以通过连续跟踪 next 指针再次到达,则链表中存在环。 为了表示给定链表中的环,评测系统内部使用整数 pos 来表示链表尾连接到链表中的位置(索引从 0 开始)。如果 pos 是 -1,则在该链表中没有环。注意:pos 不作为参数进行传递,仅仅是为了标识链表的实际情况。

不允许修改 链表。 在这里插入图片描述

输入:head = [3,2,0,-4], pos = 1
输出:返回索引为 1 的链表节点
解释:链表中有一个环,其尾部连接到第二个节点。

2、思路分析

1623750459597.jpg

3、JavaScript实现

/**
 * Definition for singly-linked list.
 * function ListNode(val) {
 *     this.val = val;
 *     this.next = null;
 * }
 */

/**
 * @param {ListNode} head
 * @return {ListNode}
 */
var detectCycle = function(head) {
  //快指针初始化
  let fast=head
  //慢指针初始化,起点一致
  let slow=head
  while(fast && fast.next){
    fast = fast.next.next //走2步
    slow = slow.next //走1步
    if(fast == slow){
      //首次相遇跳出
      break
    }
  }
  //无环
  if(!fast || !fast.next){
    return null
  }
  //从链表头结点到入环点的距离,等于从首次相遇点绕环-1圈再回到入环点的距离。这样一来,只要把其中一个指针放回到头节点位置,另一个指针保持在首次相遇点,两个指针都是每次向前走1步。那么,它们最终相遇的节点,就是入环节点。
  let newHead=head
  while(1){
    if(newHead == slow){
      break
    }
    newHead = newHead.next
    slow = slow.next
  }
  return newHead
};

以上

参考链接

Leecode

leetcode-cn.com/leetbook/re…

写在最后的话

学习路上,常常会懈怠

《有想学技术需要监督的同学嘛~》 mp.weixin.qq.com/s/FyuddlwRY…