[路飞]_js算法:leetcode 687-最长同值路径

107 阅读1分钟

leetcode 687. 最长同值路径

问题描述: 给定一个二叉树的 root ,返回 最长的路径的长度 ,这个路径中的 每个节点具有相同值 。 这条路径可以经过也可以不经过根节点。

两个节点之间的路径长度 由它们之间的边数表示。

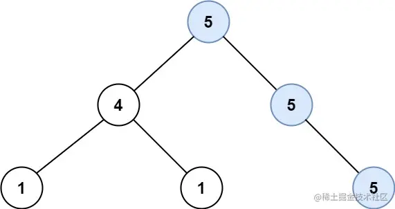
示例 1:

输入: root = [5,4,5,1,1,5]
输出: 2

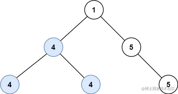
示例 2:

输入: root = [1,4,5,4,4,5]
输出: 2

思路: 递归-用递归的方式找没一个跟节点其对应的最大值,整体递归完返回一个全局比较的值

/**
 * Definition for a binary tree node.
 * function TreeNode(val, left, right) {
 *     this.val = (val===undefined ? 0 : val)
 *     this.left = (left===undefined ? null : left)
 *     this.right = (right===undefined ? null : right)
 * }
 */
/**
 * @param {TreeNode} root
 * @return {number}
 */

var longestUnivaluePath = function(root) {
  let ans=0;
  //找相同的值-递归
  function maxPath(root) {
  if(root==null)return 0;
  let leftPath=maxPath(root.left)
  let rightPath=maxPath(root.right)
  let l=0,r=0;
  if(root.left!=null&&(root.left.val==root.val)){
    l=leftPath+1
  }
  if(root.right!=null&&(root.right.val==root.val)){
    r=rightPath+1
  }
  ans=Math.max(ans,l+r)
  return Math.max(l,r)
}
maxPath(root);
return ans
};