信号完整性(SI)电源完整性(PI)学习笔记(十五)有损线、上升边退化与材料特性(二)

285 阅读6分钟

有损线、上升边退化与材料特性(二)

1.为了表征不同材料中偶极子的情况,必须引入一个新的材料电气特性。这个与偶极子运动相关的新材料特性称为耗散因子。即:

在这里插入图片描述

通常将 耗散因子写成损耗角的正切:tan(δ)。

随着频率的升高,当偶极子移动同样距离时,其移动速度将变快。因此,电流和电导率将随之提高。 聚合物交联链接程度越高,偶极子压合越紧密,耗散因子就越小。

需要用两个术语完整的表示介质材料两个重要电气特性:

(1)介电常数表示材料如何加大电容和降低材料中的光速;

(2)耗散因子表征偶极子数目及其运动,给出电导率随频率成正比提高的系数。

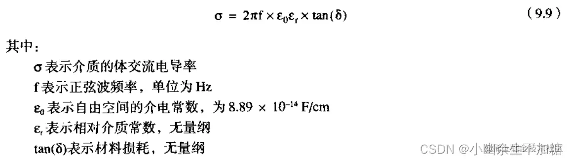
2.耗散因子本身仅与频率弱相关,但由于式中存在w这一项,仍可看到介质的体交流电导率随频率线性增加。同理,又由于漏电阻消耗的功率与体交流电导率成正比,所以消耗功率也随频率线性增加。这就是信号完整性中有损线引起问题的根源所在。

3.理想的有损分布传输线模型在无损模型中增加了两个损耗过程:随频率平方根增长的串联电阻和随频率降低的并联电阻。这是新的理想有损传输线的基础。

RL=Rdc+Rac根号f

在这里插入图片描述

4.(1)对这个一阶等效电路模型加以修正就能表征损耗。在每一节中,加入串联电阻和并联电阻的影响。一个理想有损传输线的n节集总电路近似模型的每一小节包含4项:C表示电容,L表示回路自感,Rseries表示导线的串联电阻,Rshunt表示介质损耗并联电阻。

(2)如果将传输线长度加倍,那么总电容、总电感和串联电阻都加倍,而总并联电阻将减半。因为线长加倍时,交流漏电流流过的面积过大,所以并联电阻降低。

5.用漏电导代替漏电阻,使得表示有损传输线的4项都与线长成正比。这四项称为传输线的线参数

(1)RL表示导线单位长度串联电阻;

(2)CL表示单位长度电容;

(3)Ll表示单位长度串联回路电感;

(4)G表示由介质引起的单位长度并联电导。

在这里插入图片描述

6.在一个n阶RLGC传输线模型中,信号从线的一端进入,从另一端输出,信号幅度则没有变化,除了可能的阻抗突变引起的反射,唯一影响正弦波的就是传输中的相移。

7.三个重要特征:

(1)特征阻抗Z0与频率有关,并且是个复数;

(2)正弦波信号的速度V与频率有关;

(3)引入了一个新参数αn以表示正弦波沿线传播时其幅度的衰减,这一衰减与频率有关。

特性阻抗速度和单位长度衰减的值如公式:

在这里插入图片描述

在这里插入图片描述

8.为了简化这些代数式,通常所建近似模型中的传输线是有损的,但损耗不大,称为低损耗近似条件,即串联电阻RL<<wLl,并联电导GL<<wCl。

低损耗近似条件假设:与回路串联电感阻抗相比,导线串联电阻的阻抗很小。同理,与流经信号路径和返回路径之间的电容的旁路电流相比,流经介质漏电阻的旁路电流很小。 1盎司铜线每单位长度的直流电阻为:

在这里插入图片描述

铜的集肤深度为:

在这里插入图片描述

频率约高于10MHz时,1盎司铜线的单位长度交流电阻约为:

在这里插入图片描述

9.对于线宽3mil的线,当正弦波频率分量高于2MHz时,就是工作在低损耗区。在这个区域里,串联电阻的阻抗远小于串联电感的阻抗。对于线宽大于3mil的线而言,低损耗区可以起始于更低的频率。损耗相对突出的区域实际是在低频段,其频率低于趋肤效应起作用时的那个频率。

(1)电导大致随频率线性增加,电容大致保持为常数,所以互联线总是工作在低损耗区。

(2)用宽为3mil或更宽的走线线条作为互联的电路板,其低损耗区是指频率在2MHz以上的区域,此区域包含了最重要的频率分量。

10.有损传输线的特性阻抗

理想有损线的特性阻抗与频率有关,并且是个复数:

在这里插入图片描述 在低损耗区,特性阻抗可以简化为:

在这里插入图片描述 在这里插入图片描述 在这里插入图片描述

在低损耗区损耗对特性阻抗没有影响。

11.在低损耗区,电阻特性阻抗远小于电感性阻抗,且耗散因子远小于0.1,从而速度可以近似为:

在这里插入图片描述

该结果恰与无损传输线中的信号速度一样。在低损耗区,信号速度不受损耗影响。

12.损耗的影响就是它使低频率分量速度降低的程度要比将高频分量速度降低的程度大。低频时,串联电阻的阻抗要比回路电感的自感阻抗占优势,所以线的损耗相比要大一些,信号速度也就降低了。速度随频率变化的现象称为色散。它是由两种机理引起的:与频率相关的介电常数和线损耗。色散使高频分量比低频分量传播速度快。

在这里插入图片描述

13.当信号沿导线传播时,导线损耗对信号的主要影响就是使信号幅度衰减。幅度并不是线性下降的,而是随着距离的变化呈指数下降。衰减的单位是decibel或者dB。

14.dB的定义为两个功率比值的对数。dB度量最重要的性质就是它总是指两个功率之比的对数:

在这里插入图片描述

在这里插入图片描述 在这里插入图片描述

“+”表示功率加倍;

“-”表示功率下降。

15.关于分贝值刻度,需要记住如下3个重要规则:

(1)分贝值刻度经常指的是两个功率或能量比值的对数;

(2)以10为基,用分贝值度量两个功率的比值时,指数项为分贝值/10;

(3)当从分贝转换到实际的功之比时,记住要先除以10。

16.用dB表示电压的比值,与用dB表示的相应功率的比值相同,即:

在这里插入图片描述

无论何时用dB度量两个幅度的比值,都是计算与幅度相关功率之比的对数。这等于将电压比值的对数乘以20.

17.计算dB值时,若指的是功率能量,则系数为10,若指的是幅度,则系数为20.这里的幅度就指的是电压电流或阻抗。:

在这里插入图片描述在这里插入图片描述