斐波那契数列

191 阅读2分钟

斐波那契数列

题目

用 Javascript 计算第 n 个斐波那契数列的值,注意时间复杂度。

分析

斐波那契数列很好理解

  • f(0) = 0
  • f(1) = 1
  • f(n) = f(n - 1) + f(n - 2) 前两个值的和

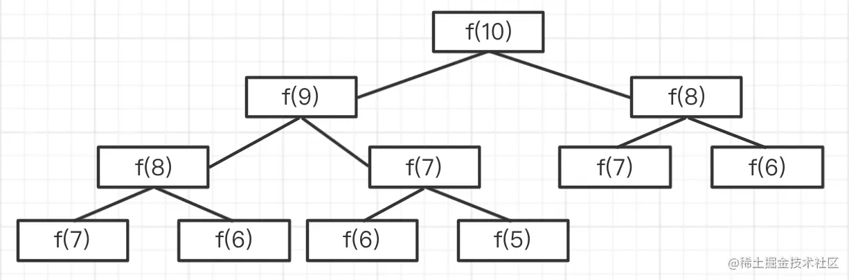
递归计算

但这种方式会导致很多重复计算。
时间复杂度是 O(2^n) ,爆炸式增长,不可用。(可以试试 n: 100 ,程序会卡死)

斐波那契数列.png

优化

不用递归,用循环,记录中间结果。时间复杂度降低到 O(n)

动态规划

即,把一个大问题,拆解为不同的小问题,递归向下。

【注意】一般使用动态规划的思路(递归)分析问题,再转换为循环来解决问题。

三大算法思维

  • 贪心(递归)
  • 二分
  • 动态规划

答案

递归版

/**
 * 斐波那契数列(递归)
 * @param n n
 */
function fibonacci(n: number): number {
    if (n <= 0) return 0
    if (n === 1) return 1

    return fibonacci(n - 1) + fibonacci(n - 2)
}



// 使用缓存优化后的递归方式
let mapData = new Map()
function fib(n){
  if(n == 0 || n ==1) return 1;
  if(mapData.get(n)){  //这一步就避免了重复计算
       return mapData.get(n);
   }
  let value = fib(n-1) + fib(n-2)
  mapData.set(n, value)
  return value
}

尾递归优化版:

function factorial(n, total) {  
    if (n === 1) return total;    
        return factorial(n - 1, n * total);  
    }    
 factorial(5, 1) // 120

循环版:

/**
 * 斐波那契数列(循环)
 * @param n n
 */
export function fibonacci(n: number): number {
    if (n <= 0) return 0
    if (n === 1) return 1

    let n1 = 1 // 记录 n-1 的结果
    let n2 = 0 // 记录 n-2 的结果
    let res = 0

    for (let i = 2; i <= n; i++) {
        res = n1 + n2

        // 记录中间结果
        n2 = n1
        n1 = res
    }

    return res
}

划重点

  • 动态规划的思路
  • 识别出时间复杂度

扩展

青蛙跳台阶:一只青蛙,一次可以跳 1 个台阶,也可以跳 2 个台阶,问该青蛙跳上 n 级台阶,总共有多少种方式?

分析

  • f(1) = 1 跳 1 级台阶,只有一种方式
  • f(2) = 2 跳 2 级台阶,有两种方式
  • f(n) = f(n - 1) + fn(n - 2) 跳 n 级,可拆分为两个问题
    • 第一次跳,要么 1 级,要么 2 级,只有这两种
    • 第一次跳 1 级,剩下有 f(n - 1) 种方式
    • 第一次跳 2 级,剩下有 f(n - 2) 种方式

看公式,和斐波那契数列一样。