矩阵计算向量求导

686 阅读2分钟

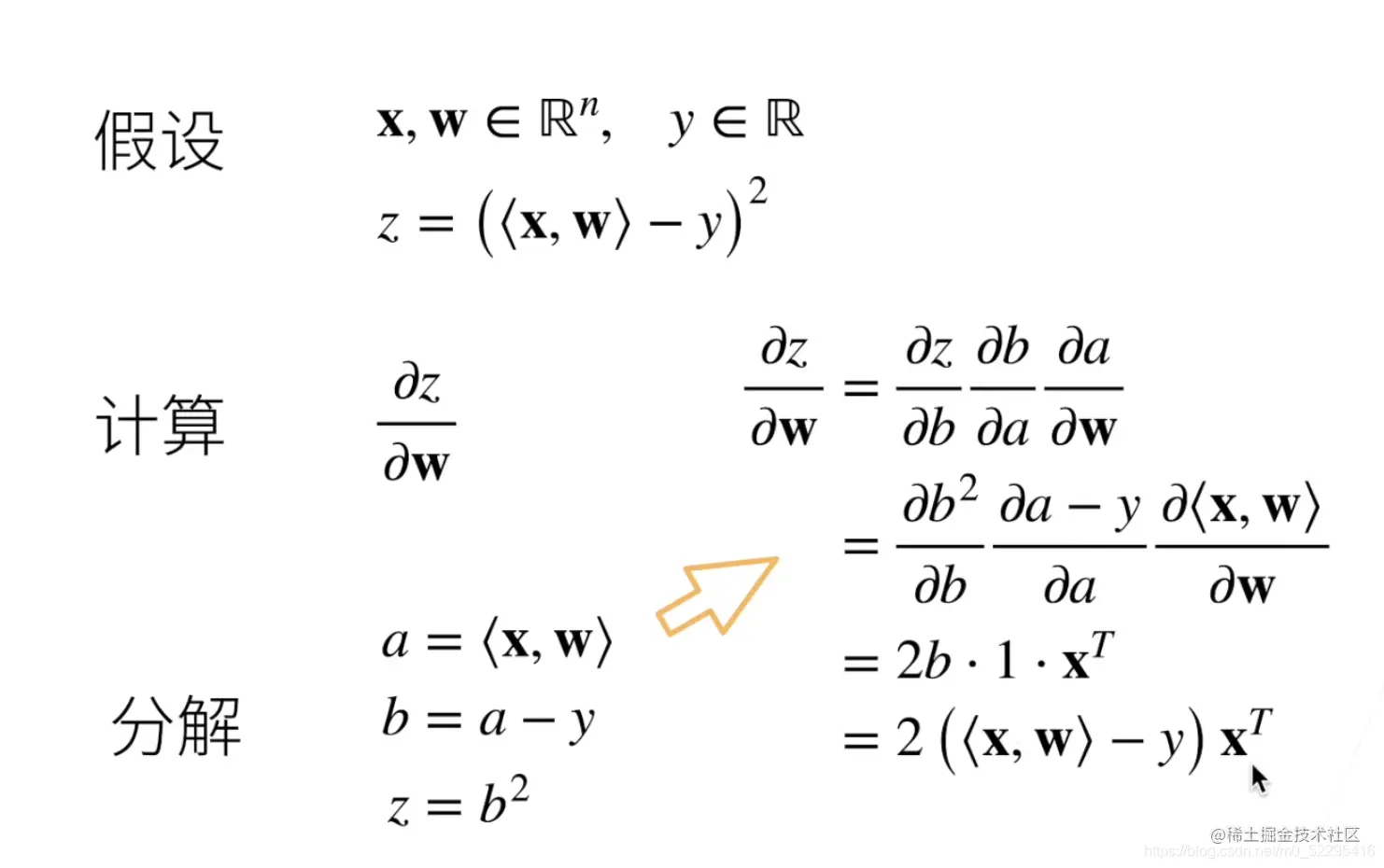
1.标量求导 高中经典几条法则 2.向量求导 请添加图片描述 请添加图片描述 3.矩阵求导 请添加图片描述 4.例题 请添加图片描述 请添加图片描述 基本公式:
Y = A * X --> DY/DX = A'
Y = X * A --> DY/DX = A
Y = A' * X * B --> DY/DX = A * B'
Y = A' * X' * B --> DY/DX = B * A'

1. 矩阵Y对标量x求导:

相当于每个元素求导数后转置一下,注意M×N矩阵求导后变成N×M了

Y = [y(ij)] --> dY/dx = [dy(ji)/dx]

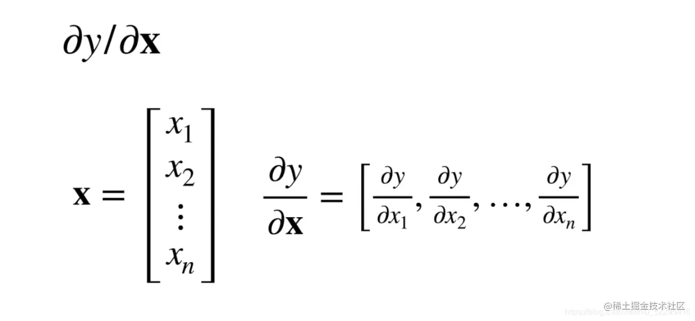
  1. 标量y对列向量X求导:

注意与上面不同,这次括号内是求偏导,不转置,对N×1向量求导后还是N×1向量

y = f(x1,x2,..,xn) --> dy/dX =(Dy/Dx1,Dy/Dx2,..,Dy/Dxn)'

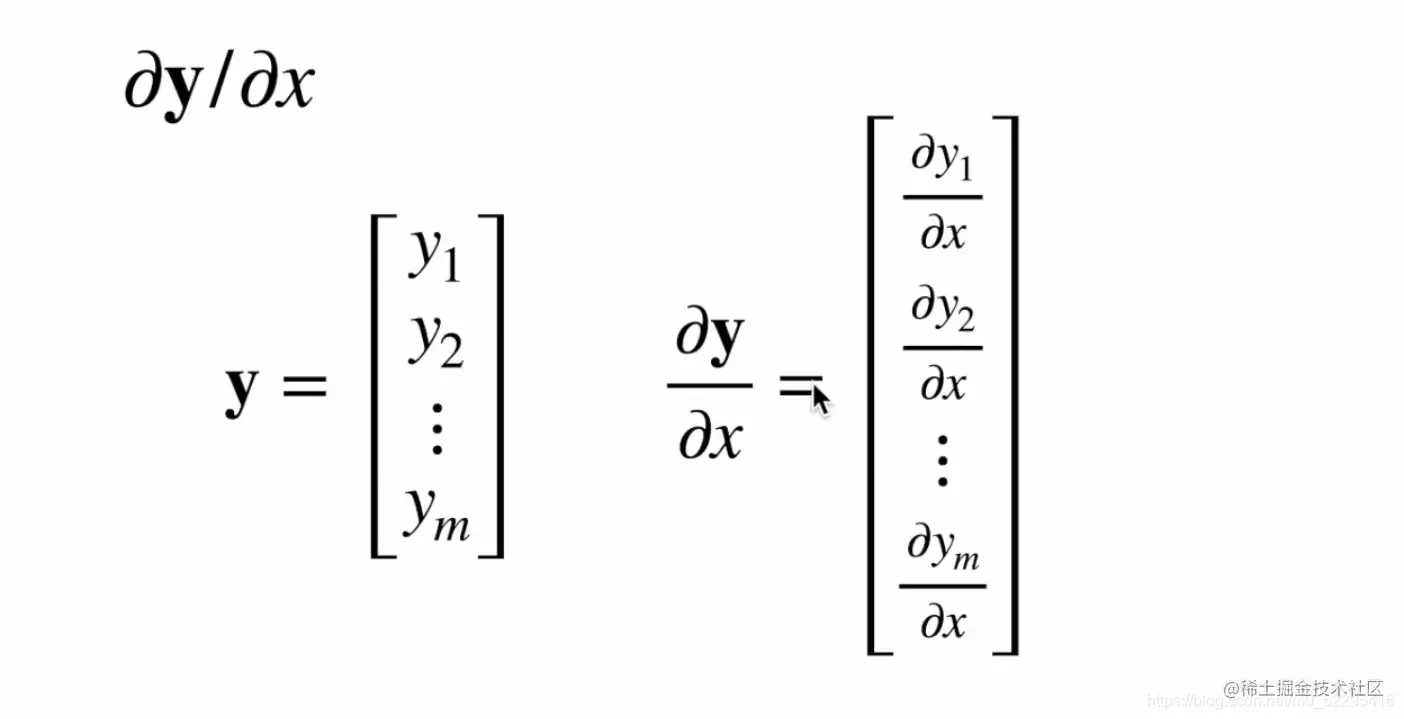
  1. 行向量Y'对列向量X求导:

注意1×M向量对N×1向量求导后是N×M矩阵。

将Y的每一列对X求偏导,将各列构成一个矩阵。

重要结论:

dX'/dX = I

d(AX)'/dX = A'

  1. 列向量Y对行向量X’求导:

转化为行向量Y’对列向量X的导数,然后转置。

注意M×1向量对1×N向量求导结果为M×N矩阵。

dY/dX' = (dY'/dX)'

  1. 向量积对列向量X求导运算法则:

注意与标量求导有点不同。

d(UV')/dX = (dU/dX)V' + U(dV'/dX)

d(U'V)/dX = (dU'/dX)V + (dV'/dX)U'

重要结论:

d(X'A)/dX = (dX'/dX)A + (dA/dX)X' = IA + 0X' = A

d(AX)/dX' = (d(X'A')/dX)' = (A')' = A

d(X'AX)/dX = (dX'/dX)AX + (d(AX)'/dX)X = AX + A'X

  1. 矩阵Y对列向量X求导:

将Y对X的每一个分量求偏导,构成一个超向量。

注意该向量的每一个元素都是一个矩阵。

  1. 矩阵积对列向量求导法则:

d(uV)/dX = (du/dX)V + u(dV/dX)

d(UV)/dX = (dU/dX)V + U(dV/dX)

重要结论:

d(X'A)/dX = (dX'/dX)A + X'(dA/dX) = IA + X'0 = A

  1. 标量y对矩阵X的导数:

类似标量y对列向量X的导数,

把y对每个X的元素求偏导,不用转置。

dy/dX = [ Dy/Dx(ij) ]

重要结论:

y = U'XV = ΣΣu(i)x(ij)v(j) 于是 dy/dX = [u(i)v(j)] = UV'