蓝桥杯练习018

182 阅读3分钟

本文已参与「新人创作礼」活动,一起开启掘金创作之路。

蓝桥杯练习018

付账问题

题目描述

几个人一起出去吃饭是常有的事。但在结帐的时候,常常会出现一些争执。

现在有 n 个人出去吃饭,他们总共消费了 S元。其中第 i 个人带了 ai元。幸运的是,所有人带的钱的总数是足够付账的,但现在问题来了:每个人分别要出多少钱呢?

为了公平起见,我们希望在总付钱量恰好为 S 的前提下,最后每个人付的钱的标准差最小。这里我们约定,每个人支付的钱数可以是任意非负实数,即可以不是 1 分钱的整数倍。你需要输出最小的标准差是多少。

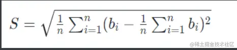
标准差的介绍:标准差是多个数与它们平均数差值的平方平均数,一般用于刻画这些数之间的"偏差有多大"。形式化地说,设第 i 个人付的钱为 bi 元,那么标准差为 :

[外链图片转存失败,源站可能有防盗链机制,建议将图片保存下来直接上传(img-jKxjiTMS-1646723375051)(C:\Users\DELL\AppData\Roaming\Typora\typora-user-images\image-20220307150257877.png)]

输入描述

第一行包含两个整数 n、S;

第二行包含 n 个非负整数 a1, ⋯, an。

其中,n≤5×10^5, 0≤ai≤10^9 。

输出描述

输出最小的标准差,四舍五入保留 4 位小数。

保证正确答案在加上或减去 10^(−9)后不会导致四舍五入的结果发生变化。

输入输出样例

示例

输入

5 2333
666 666 666 666 666

输出

0.0000

运行限制

  • 最大运行时间:1s
  • 最大运行内存: 256M

萌新:公式里面有两个求和,还是嵌套的,这也太复杂了吧…

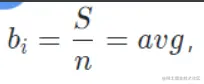
大佬:你先仔细看一看呀,其实后一个求和就是S,所以公式就是 [外链图片转存失败,源站可能有防盗链机制,建议将图片保存下来直接上传(img-8qKQBC9R-1646723375054)(C:\Users\DELL\AppData\Roaming\Typora\typora-user-images\image-20220307151416391.png)]
,是不是松了一口气?

萌新:好吧,这样看就没那么复杂了。

大佬:你再想,如果每个人带的钱够多,人均完全一样,即 [外链图片转存失败,源站可能有防盗链机制,建议将图片保存下来直接上传(img-yFs1ppU1-1646723375055)(C:\Users\DELL\AppData\Roaming\Typora\typora-user-images\image-20220307151445466.png)]
,就很简单了对吧?得 x=0。

萌新:可这显然是一种特殊情况,如果有人钱不够怎么办?

大佬:

  • 那就分两种情况:

    1. 第 i人带的钱不够平均数 avg,那么他只能出他带的全部钱 ai。
    2. 第 i 人带的钱比平均数 avg 多,那么他可以多摊一些。
  • 所以基本步骤为:

    1. 对 ai 从小到大排序。

    2. 前一部分人的钱不够,那么就出他们所有的钱。

    3. 从总付钱数中扣除前一部分人出的钱,得剩余钱数为S’,以及后一部分人的出钱平均数 avg。

    4. 后一部分人的钱多,他们多出一些。怎么出?这部分人也分两类:

      • 比较有钱的,但是他的钱也不够avg’,那么他的钱还是要全出
      • 非常有钱的,不管怎么摊他都有富余。
#include <bits/stdc++.h>
using namespace std;
const int M=5e5;
long long a[M];
int main(){
    int n;  long long s;   scanf("%d %ld",&n,&s);
    for(int i=1;i<=n;i++)  scanf("%ld",&a[i]);
    sort(a+1,a+n+1);     //排序,从小到大
    double avg=1.0*s/n;  //平均值
    double sum=0.0;
    for(int i=1;i<=n;i++){
        if(a[i]*(n+1-i)<s){ 
//需要把钱全拿出的人:(1)钱不够平均数的,(2)钱够平均数,但也不是很多的
            sum+=(a[i]-avg)*(a[i]-avg);
            s-=a[i];            //更新剩余钱数
        }
        else{       //不用把钱全拿出的人:非常有钱,不管怎么平均都够
            double cur_avg=1.0*s/(n+1-i);  //更新平均出钱数
            sum += (cur_avg-avg)*(cur_avg-avg)*(n+1-i);
            break;
        }
    }
    printf("%.4f",sqrt(sum/n));
    return 0;
}

尺取法

尺取法的概念

尺取法:hello 大家好,我是尺取法,你们也可以叫我双指针、two pointers,我是算法竞赛中一个常用的优化技巧,是用来解决序列的区间问题。我呢操作简单,容易编程。

萌新:能自我介绍的更细节一些吗?你为什么可以用来优化?你又是怎么优化的?

尺取法:简单来说,我可以把两重循环转化为一重循环,从而把时间复杂度从 O(n^2)提高到 O(n)。

萌新:哇,这么 nb。能举个例子看看不?img

尺取法:好,那么咱首先看一个用 i和 j 执行的两重循环:

for(int i = 0; i < n; i++)           //i从头扫到尾
    for(int j = n-1; j >= 0; j--){   //j从尾扫到头
        ......
    }

尺取法:其中 i 从 0循环到 n-1,j 反过来从 n-1循环到 0 。这两重循环的时间复杂度是 O(n^2) 的。

萌新:对对对,然后嘞,你是如何把两重循环变为一个循环的?

尺取法:em,我可以在一个循环中一起处理 i,j,代码如下,这样复杂度就从 O(n^2) 变成了 O(n)。

for (int i = 0, j = n - 1; i < j; i++, j--) {
    ......
}

萌新:哇,可以啊你,666 啊。

尺取法:嘻嘻,谢谢支持。img

萌新:诶等等,这?你在耍我呢?这不是瞎扯淡嘛?这两重循环凭啥变成下面的一重循环了?

尺取法:em,我这不是还没说完嘛。。。我的局限性很大,因为我有 i < j的一个小限制,也就是说 i 从头到尾走、j 从尾到头走,两者可以中间位置相会。所以我的应用场合并不多。img

萌新:好吧,我还以为你是万能的,原来只能应用在有限场合啊…诶你这个有限场合大概是什么样的场合啊?还有你这个一重循环的代码。。。就不能写的好看点?

尺取法:有限场合一般指代和区间有关的问题;如果你觉得 for 循环不好看,那就来看看我的 while 写法吧。

//用while实现:
int i = 0, j = n - 1;
while (i < j) {      //i和j在中间相遇。这样做还能防止i、j越界
        ......       //满足题意的操作
        i++;         //i从头扫到尾
        j--;         //j从尾扫到头
}

萌新:嗯,这代码看起来还是很舒服的。

大佬:以上是被称为「反向扫描」的尺取法,另外还有一种「同向扫描」。

萌新:哦吼大佬你终于出现了!你说的这「同向扫描」又是咋样的?

大佬:em,我对尺取法的概念做了总结,你看看下面就会明白了:

把循环指针 i、j 称为「扫描指针」,在尺取法中,这两个指针 i、j,有两种扫描方向:

  • 反向扫描。i、j 方向相反,i 从头到尾,j 从尾到头,在中间相会。也可以把反向扫描的 i、j 指针称为「左右指针」。
  • 同向扫描。i、j 方向相同,都从头到尾,但是速度不一样,比如可以让 j 跑在 i 前面。也可以把同向扫描的 i、j 指针称为「快慢指针」,此时由于 i 和 j 速度不同,i 和 j 之间在序列上产生了一个大小可变的「滑动窗口」,这是尺取法的优势,有灵活的应用。

注意,用尺取法的最关键之处在于,两个指针 i、j 在总体上只能有一个循环,例如:i 循环一遍,对应的 j 只能跟随 i 循环一遍。这样才能实现计算复杂度从 O(n^2) 到 O(n) 的优化。

反向扫描-回文判定

题目描述

给定一个长度为 n 的字符串 S。请你判断字符串 S 是否回文。

输入描述

输入仅 1 行包含一个字符串 S。

1≤∣S∣≤10^6,保证 S 只包含大小写、字母。

输出描述

若字符串 S 为回文串,则输出 Y,否则输出 N。

输入输出样例

示例 1

输入

abcba

输出

Y

示例 2

输入

abcbb

输出

N

运行限制

  • 最大运行时间:1s
  • 最大运行内存: 128M

代码

#include<iostream>
#include<string>

using namespace std;

int main()
{
	string s;
	cin>>s;
	int i=0,j=s.length()-1;
	while(i<j){
		if(s[i]==s[j]){//判断i与j位置的字母是否相同
			i++;//i后移
			j--;//j前移
		}else{//i与j位置字母不相同,输出N并退出循环
			cout<<"N"<<endl;
			break;
		}
	}
	if(i>=j)//只有i>=j时说明是满足条件的回文串,输出Y
		cout<<"Y"<<endl;
	return 0;
}