1305. 两棵二叉搜索树中的所有元素 : BST 的中序遍历与归并排序运用题

664 阅读2分钟

题目描述

这是 LeetCode 上的 1305. 两棵二叉搜索树中的所有元素 ,难度为 中等

Tag : 「中序遍历」、「归并排序」

给你 root1 root2 这两棵二叉搜索树。请你返回一个列表,其中包含 两棵树 中的所有整数并按 升序 排序。.

示例 1:

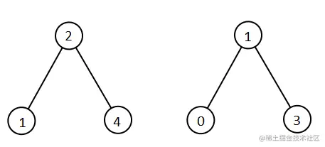
输入:root1 = [2,1,4], root2 = [1,0,3]

输出:[0,1,1,2,3,4]

示例 2:

输入:root1 = [1,null,8], root2 = [8,1]

输出:[1,1,8,8]

提示:

  • 每棵树的节点数在 [0,5000][0, 5000] 范围内
  • 105 <=Node.val<=105-10^5 <= Node.val <= 10^5

中序遍历 + 归并排序

利用 BST 中序遍历的有序性质,我们可以先对两棵树进行中序遍历,从而将树的结构转换为线性结构。

将两个有序序列合并成一个有序序列则是利用了经典的「归并排序」。

代码:

class Solution {
    int INF = 0x3f3f3f3f;
    public List<Integer> getAllElements(TreeNode root1, TreeNode root2) {
        List<Integer> ans = new ArrayList<>();
        List<Integer> l1 = new ArrayList<>(), l2 = new ArrayList<>();
        dfs(root1, l1); dfs(root2, l2);
        int n = l1.size(), m = l2.size(), i = 0, j = 0;
        while (i < n || j < m) {
            int a = i < n ? l1.get(i) : INF, b = j < m ? l2.get(j) : INF;
            if (a <= b) {
                ans.add(a); i++;
            } else {
                ans.add(b); j++;
            }
        }
        return ans;
    }
    void dfs(TreeNode root, List<Integer> list) {
        if (root == null) return ;
        dfs(root.left, list);
        list.add(root.val);
        dfs(root.right, list);
    }
}
  • 时间复杂度:令 nnmm 分别为两棵树的节点数量,跑中序遍历的复杂度为 O(n+m)O(n + m),构建答案复杂度为 O(max(m,n))O(\max(m, n))。整体复杂度为 O(n+m)O(n + m)
  • 空间复杂度:O(n+m)O(n + m)

最后

这是我们「刷穿 LeetCode」系列文章的第 No.1310 篇,系列开始于 2021/01/01,截止于起始日 LeetCode 上共有 1916 道题目,部分是有锁题,我们将先把所有不带锁的题目刷完。

在这个系列文章里面,除了讲解解题思路以外,还会尽可能给出最为简洁的代码。如果涉及通解还会相应的代码模板。

为了方便各位同学能够电脑上进行调试和提交代码,我建立了相关的仓库:github.com/SharingSour…

在仓库地址里,你可以看到系列文章的题解链接、系列文章的相应代码、LeetCode 原题链接和其他优选题解。