【题解】【AcWing】1623. 中缀表达式

127 阅读2分钟

本文已参与「新人创作礼」活动,一起开启掘金创作之路。

1623. 中缀表达式

原题传送:AcWing 1623. 中缀表达式

给定一个句法二叉树,请你输出相应的中缀表达式,并利用括号反映运算符的优先级。

输入格式

第一行包含整数 NN 表示二叉树的总结点个数。

接下来 NN 行,每行以下列格式给出一个结点的信息(第 ii 行对应于第 ii 个结点):

data left_child right_child

其中data是一个长度不超过 1010 的字符串,left_childright_child 分别是该结点的左右子结点编号。

所有结点编号从 11NN ,NULL用-1表示。

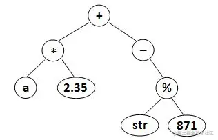
以下两个图分别对应样例 11 和样例 22

输出格式

请在一行输出中缀表达式,并利用括号反映运算符的优先级。

注意,不能有多余括号,请任何符号之间不得有空格。

数据范围

1N201 \le N \le 20

输入样例1:

8
* 8 7
a -1 -1
* 4 1
+ 2 5
b -1 -1
d -1 -1
- -1 6
c -1 -1

输出样例1:

(a+b)*(c*(-d))

输入样例2:

8
2.35 -1 -1
* 6 1
- -1 4
% 7 8
+ 2 3
a -1 -1
str -1 -1
871 -1 -1

输出样例2:

(a*2.35)+(-(str%871))

思路:

dfs从根节点开始,如果不是叶结点,需要两边加上括号。

题解:

#include<bits/stdc++.h>

using namespace std;

const int N = 30;

int n;
int l[N], r[N];
string w[N];
bool has_father[N], is_leaf[N];

string dfs(int u)
{
	string left, right;
	if(l[u] != -1)
	{
		left = dfs(l[u]);
		if(!is_leaf[l[u]]) left = "(" + left + ")";
	}
	if(r[u] != -1)
	{
		right = dfs(r[u]);
		if(!is_leaf[r[u]]) right = "(" + right + ")";
	}
	return left + w[u] + right;
}

int main()
{	
	cin >> n;
	for(int i = 1; i <= n; i++)
	{
		cin >> w[i] >> l[i] >> r[i];
		if(l[i] != -1) 
			has_father[l[i]] = true;
		if(r[i] != -1) 
			has_father[r[i]] = true;
		
		if(l[i] == -1 && r[i] == -1) 
			is_leaf[i] = true;
	}	
	
	int root = 1;
	while(has_father[root]) root++;
	
	cout << dfs(root) << endl;

	return 0;
}