运放基础认识及选型

395 阅读7分钟

1.什么是运放

(1)概要:

运放是运算放大器的简称。在实际电路中,通常结合反馈网络共同组成某种功能模块。由于早期应用于模拟计算机中,用以实现数学运算,故得名“运算放大器”,此名称一直延续至今。运放是一个从功能的角度命名的电路单元,可以由分立的器件实现,也可以实现在半导体芯片当中。随着半导体技术的发展,如今绝大部分的运放是以单片的形式存在。现今运放的种类繁多,广泛应用于几乎所有的行业当中。

集成电路运算放大器

种类很多,功能也多,电路也不一致,但是其内部结构框图基本上是一致的。由三部分组成:输入级,中间级,输出级。输入级由差分放大电路组成,利用他的电路对称性可提高整个电路的性能。中间电压放大级的主要作用是提高电压增益,它可以由一级或多级放大电路组成;输出级的电压增益为1,但能为负责提供一定的功率,电路由两个电源V+和V-供电。整个电路设计成两个输入端P和N,一个输出端O。三端的电压分别用Vp,Vn,和Vo表示,P、N两端分别称为同相输入端和反相输入端,意即当P端加入电压信号Vp(Vn = 0)时,在输出端得到的电压Vo与Vp同相;当在N端加入电压信号Vn(Vp = 0)时,在输出端得到的输出电压Vo与Vp反相。一个世纪的集成运放,P、N与O端的电压信号的之间的关系是确定的。

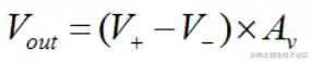
输出电压Vo与差分放大输入级的两个输入端的关系:

Vo = Av(Vp - Vn)

(2)模型:

在这里插入图片描述

在这里插入图片描述

理想的运放电路分析有两大重要原则贯穿始终,即“虚短”与“虚断”。“虚短”的意思是正端和负端接近短路,即V+=V-,看起来像“短路”;“虚断”的意思是流入正端及负端的电流接近于零,即I+=I-=0,看起来像断路(因为输入阻抗无穷大)。

虚短:把两输入端视为等电位;

虚断:把两输出端等效为开路。

2.运放典型电路模型

(1)反相比例放大

在这里插入图片描述

在这里插入图片描述

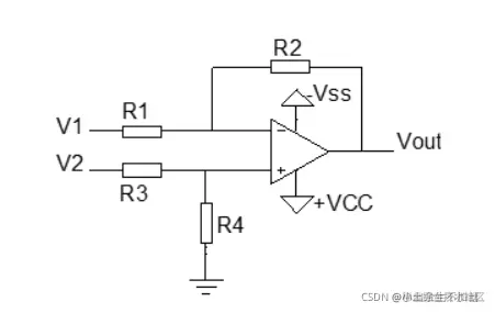
(2)差分放大电路

在这里插入图片描述

在这里插入图片描述

(3)同相放大电路

在这里插入图片描述

在这里插入图片描述

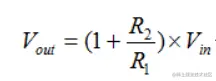
(4)电压跟随电路

在这里插入图片描述

Vout=Vin

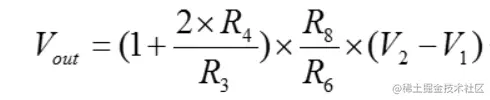
(5)仪器放大电路

在这里插入图片描述

选值要求:R4=R5,R6=R7,R8=R9(保持电路的对称性),R3为可调电阻,用于调节电路增益。电路输入输出的关系式如下:

在这里插入图片描述

(6)简单比较器

在这里插入图片描述

在这里插入图片描述

Av为运放的开环放大倍数(一般为100dB左右,即十万倍)。当V+大于V-时,输出为正饱和(接近VCC,但是无法达到);当V-大于V+时,输出为负饱和(接近-VSS,但是无法达到)

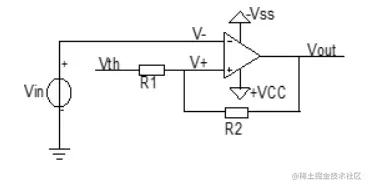
(7)迟滞比较器

在这里插入图片描述

相比简单比较器,迟滞比较器只是增加了一个电阻R2。这将引起怎样的微妙变化呢?

通俗地说,R2在输入与输出之间搭起了一座桥梁,输出的变化可以通过R2传递至输入,然后比较器的阈值将随输出的变化而改变,达到了磁滞的目的。

如果需要定量分析,所有的比较器的原理都是一样的,利用运放的放大倍速为“无穷大”,将V+与V-之间的微弱电压差进行放大,达到饱和输出。

在这里插入图片描述

设计合适的Vth_H及Vth_L,使(Vth_H-Vth_L)大于杂波幅值,可以有效的避免因为输入信号上的杂波引起的误操作。

在这里插入图片描述

(8)窗口比较器

在这里插入图片描述

窗口比较器用于判别输入电压是否落在某一个范围之内,图是典型的窗口比较器。

其中,URH>URL,D1和D2不能省略,防止两个运放输出电平相反时损坏运放。比如,运放A1输出VOH,但是运放A2输出VOL,D1导通,但是D2截止,因此电流不会从A1流入A2,避免大电流损坏器件。

1)、Uin>URH>URL,A1输出UOH,A2输出UOL,D1导通,D2截止,Uout=UOH;

2)、Uin<URL<URH,A1输出UOL,A2输出UOH,D1截止,D2导通,Uout=UOH;

3)、URL< Uin<URH,A1输出UOL,A2输出UOL,D1截止,D2截止,Uout=UOL;

在这里插入图片描述

3.运放实际应用选型及相关参数

电压反馈型运放(VF):

电压反馈型放大器的-3DB带宽由R1、Rf和跨导gm共同决定,这就是所谓的增益帯宽积的概念,增益增大,带宽成比例下降。同时运放的稳定性有输入阻抗R1和反馈阻抗Rf共同决定。

电压反馈型的运放,增益带宽集是固定的,所以当增益变得很大的时候,带宽裕度就会变小,能够拥有的带宽就变小了,需要捕捉瞬态量的时候,需要运放的带宽有足够的裕度。

电流反馈型运放(CF):而对于电流反馈型运放,它的增益和带宽是相互独立的,其-3DB带宽仅由Rf决定,可以通过设定Rf得到不同的带宽。再设定R1得到不同的增益。同时,其稳定性也仅受Rf影响。 (电压反馈型和电流反馈型不细说了,这里先做一个简单的认识)

FDA:全差分运算放大器(Fully differential amplifiers,FDA)是简单的单极管运算放大器的进阶,通常在电路中,全差分运放会作为运放的第一级,它的作用是用来对输入信号进行预放大,第二级通常会是一个双端输入,单端输出的运放,用来产生较大的增益,进而配合环路完成相应的功能(数字比较器,高速数字接口,远端采样,误差放大器等应用)

SNR:信噪比

THD:运放的总谐波失真(THD)是当运放的输入信号为纯的正弦波时(无谐波的正弦波),运放的输入信号中的各次谐波(2次,3次,至n次)的均方根值,与输出信号基波的RMS值之比

轨到轨运放:所谓轨对轨(rail-to-rail)运算放大器轨对轨放大器,指的是放大器输入和输出电压摆幅非常接近或几乎等于电源电压值

单电源运放:运放 单电源供电指 运放 只用一种电源供电,如DC 5V,DC 12V,单电源供电,输出只有一种电压,如输入 波形 是变化的,输出也只在正电压 波形 变化。

按实际应用分类:

(1)高精度运放

①称重系统

选型:OPA2388,高压选择OPA2819,都属于大带宽零温漂运放。 ②仪器、实验器材

选型:输入阻抗要足够大(MOSFET输入的)

③高压、半导体测试台

选型:OPA462

④数据采集卡、通道多噪声要求高的,失真低的

选型:OPA2210\

FDA:THP210

⑤仪表放大器,电压、电流、LCD检测,高精度,高共模抑制比

选型:INA821。

(2)高速运放

①ADC Driver

选型:FDA:THS4551、THS4561。

②模拟前端、数字示波器

选型:OPA810/2810(FET)输入阻抗高。

③输出Driver

选型:THS3491电流反馈型,增益和带宽可以独立。

(3)比较器产品

①高速、测量领域,对速度有要求的场合

选型:TLV2501/2

②低速场合

选型:TLV9032\TLV9022。

③通用,成本低,性价比高

选型:LM393B/LM2903B。

(4)通用运放

①高压,高侧电压检测

选型:OPAx9919(轨到轨)

②低压场合

选型:OPAx375,OPAx322。

③通用,成本低,性价比高

选型:LM358B/LM2904B。