第三代电力电子半导体:SiC MOSFET学习笔记(五)驱动电源调研

429 阅读3分钟

3.1 驱动电源

SiC MOSFET开启电压比Si IGBT低,但只有驱动电压达到18V~20V时才能完全开通;

在这里插入图片描述

Si IGBT 和SiC MOSFET Vgs对比

Cree的产品手册中单管MOSFET手册推荐栅源电压-4/15V;模块给出的都是-5/20V的推荐驱动电压,实际调研过程中模块用的都是-4/20V;基于Cree三代芯片模块建议开通电压1720V,实现更低的导通损耗,关断电压-5V-2V之间。

在这里插入图片描述

Cree单管MOSFET手册推荐Vgs

在这里插入图片描述

Cree工业级SiC MOSFET模块推荐Vgs

Rhom模块实际用的Vgs:-2/+20V,△Vgs=22V,为实现更低的导通损耗,因此栅源电压应该设置大一点。

在这里插入图片描述

Rhom SiC MOSFET模块推荐Vgs

斯达供应商提供资料他们用Cree的芯片,模块Vgs推荐使用-4/15V,Rhom的芯片,模块Vgs推荐使用-2/15V。

在这里插入图片描述

斯达 SiC MOSFET推荐Vgs

3.2 驱动电阻 驱动电阻对开关速度影响较大,若驱动电阻小则栅极电容充放电快,开关器件开关速度快,开关损耗小,但若驱动电阻过小则开关过程中驱动电压容易出现振荡,可能会导致器件的误触发,严重时甚至可能损坏开关器件和电力电子设备;如果驱动电阻Rg取值过大,驱动的响应会很慢,从而会降低器件的开关速度,增大器件的开关损耗。

SiC MOSFET的驱动包括两部分,一部分是在管子内部,这部分电阻与栅极电极材料的薄层阻抗和芯片的尺寸相关;另一部分即外部加的栅极电阻。从开关管的数据资料中也可以看到,随着外部驱动电阻的增大开关管的开关损耗逐渐增大,开通时间和关断时间也逐渐增大。

驱动电阻的选择要使驱动电压不会产生振荡,同时保持系统较快的响应速度,即在保证可靠工作的同时尽量减小驱动电阻。设计时使开通电阻和关断电阻可以分别设计,这样可以更加灵活地分别控制开通和关断速度。驱动电阻的选择参考数据手册并经过实验测试,综合考虑开关时间、开关损耗、振荡及尖峰问题。

3.3驱动电流

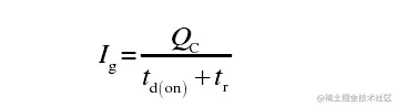
SiC MOSFET 对驱动电路特殊要求我们得知,驱动芯片需提供足够驱动电流。驱动电流不足会使器件开关过程发生延时,进而增加开关过程的损耗。因此,根据以下公式计算出开通过程需要的平均驱动电流 Ig为:

在这里插入图片描述

其中:

Qc 为栅极充电电荷,

td(on)为开通延迟时间,

tr 为上升时间。结合数据手册参数值,得出开通过程所需平均驱动电流 Ig 为 2A

因此从隔离方式、驱动电流两个方面考虑,最终选择 ACPL- W346 驱动芯片。这款光耦隔离驱动瞬态输出电流 2.5A,导通延时和关断延时分别为 120ns 和 30ns,传输延迟小,能够满足本文 SiC MOSFET 开关频率设为 100kHz 的需要。