「leetCode」199-二叉树的右视图⚡️

135 阅读2分钟

一起养成写作习惯!这是我参与「掘金日新计划 · 4 月更文挑战」的第28天,点击查看活动详情

大家好,我是速冻鱼🐟,一条水系前端💦,喜欢花里胡哨💐,持续沙雕🌲,是隔壁寒草🌿的好兄弟,刚开始写文章。 如果喜欢我的文章,可以关注➕点赞,为我注入能量,与我一同成长吧~

题目🦀

199. 二叉树的右视图

难度中等

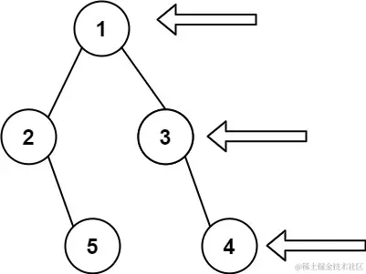
给定一个二叉树的 根节点 root,想象自己站在它的右侧,按照从顶部到底部的顺序,返回从右侧所能看到的节点值。

示例 1:

img

输入: [1,2,3,null,5,null,4]
输出: [1,3,4]

示例 2:

输入: [1,null,3]
输出: [1,3]

示例 3:

输入: []
输出: []

提示:

  • 二叉树的节点个数的范围是 [0,100]
  • -100 <= Node.val <= 100

解题思路🌵

  • 此题同样采用层序遍历
  • 在遍历每一层的时候记录每一层最后的结点即可

解题步骤🌟

  • 此题采用层序遍历
  • 处理边界条件
  • 初始化queue result
  • 循环queue队列
  • 获取queue的长度
  • 遍历当前层的所有结点
  • 当当前层遍历完成后将当前层最后的结点push进入result
  • 最后返回result

源码🔥

/**
 * Definition for a binary tree node.
 * function TreeNode(val, left, right) {
 *     this.val = (val===undefined ? 0 : val)
 *     this.left = (left===undefined ? null : left)
 *     this.right = (right===undefined ? null : right)
 * }
 */
/**
 * @param {TreeNode} root
 * @return {number[]}
 */
var rightSideView = function(root) {
    if(!root){
        return []
    }
    const reuslt = [] 
    const queue = [root]

    while(queue.length){
        let len = queue.length
        const currentLevel = []
        while(len--){
            const node = queue.shift()
            currentLevel.push(node.val)
            node.left && queue.push(node.left)
            node.right && queue.push(node.right)
        }
        reuslt.push(currentLevel[currentLevel.length-1])
    }
    return reuslt
};

时间复杂度:O(N)

空间复杂度:O(N)

结束语🌞

那么鱼鱼的LeetCode算法篇的「leetCode」199-二叉树的右视图⚡️就结束了,虽然前端对算法要求没有后端高,但是算法是编程基础,程序=数据结构➕算法,所以算法这个东西没有捷径,只能多写多练,多总结,文章的目的其实很简单,就是督促自己去完成算法练习并总结和输出,菜不菜不重要,但是热爱🔥,喜欢大家能够喜欢我的短文,也希望通过文章认识更多志同道合的朋友,如果你也喜欢折腾,欢迎加我好友,一起沙雕,一起进步

github🤖:sudongyu

个人博客👨‍💻:速冻鱼blog

vx👦:sudongyuer

写在最后

伙伴们,如果喜欢我的口水话给🐟🐟点一个赞👍或者关注➕都是对我最大的支持。