LeetCode 105.从前序与中序遍历序列构造二叉树

109 阅读2分钟

参加了 kkb 的门徒培训,想要记录下自己的成长过程。每天一篇,坚持不断更(补) --- 2022.4.6

题目描述

给定两个整数数组 preorder 和 inorder ,其中 preorder 是二叉树的先序遍历, inorder 是同一棵树的中序遍历,请构造二叉树并返回其根节点。

 

示例 1:

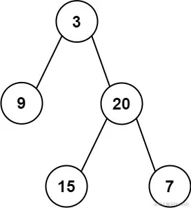
输入 : preorder = [3,9,20,15,7], inorder = [9,3,15,20,7]
输出: [3,9,20,null,null,15,7]

示例 2:

输入: preorder = [-1], inorder = [-1]
输出: [-1]

 

提示:

  • 1 <= preorder.length <= 3000
  • inorder.length == preorder.length
  • -3000 <= preorder[i], inorder[i] <= 3000
  • preorder 和 inorder 均 无重复 元素
  • inorder 均出现在 preorder
  • preorder 保证 为二叉树的前序遍历序列
  • inorder 保证 为二叉树的中序遍历序列

解题思路

首先需要明白什么是前序遍历,什么是中序遍历。

前(先)序遍历

前序遍历:若二叉树为空,则空操作返回,否则先访问根结点,然后前序遍历左子树,再前序遍历右子书。

特点:

  1. 根----->左------->右
  2. 根据前序遍历的结果可知第一个访问的必定是root结点

中序遍历

中序遍历:若二叉树为空,则空操作返回,否则从根结点开始(注意并不是先访问根结点),中序遍历根结点的左子树,然后访问根结点,最后中序遍历右子树。

特点:

  1. 左----->根------->右
  2. 根据中序遍历的结果,再结合前序遍历的root结点去划分root结点的左右子树。

后序遍历

后序遍历:若二叉树为空,则空操作返回,否则从左到右先叶子结点后结点的方式遍历访问左右子树,最后访问根结点。

特点:

  1. 左------>右------>根
  2. 根据后序遍历的结果可知最后访问的必定是root结点。

想要通过序遍历还原唯一树节点,我们最少需要知道两条序遍历(中序遍历必知)

以题目为例

前序: [3,9,20,15,7]
中序: [9,3,15,20,7]

1. 前序的第一个节点为根
2. 中序中根节点的左边为左子树,右边为右子树
3. 这时候可以进行简单的画图
4. 将左右子树重复以上步骤能得到对应的树结构

[3, 9, 20, null, null, 15, 7]

这个题的难点在于: 如何算左右子树大小

/**
 * Definition for a binary tree node.
 * function TreeNode(val, left, right) {
 *     this.val = (val===undefined ? 0 : val)
 *     this.left = (left===undefined ? null : left)
 *     this.right = (right===undefined ? null : right)
 * }
 */
/**
 *
 * @param {number[]} preorder
 * @param {number} preL
 * @param {number} preR
 * @param {number[]} inorder
 * @param {number} inL
 * @param {number} inR
 * @return {TreeNode}
 */
const build = (preorder, preL, preR, inorder, inL, inR) => {
  // 临界判断
  if (preL > preR || inL > inR) return null;
  const root = new TreeNode(preorder[preL]);

  // 查找顶点位置
  let idx = inL;
  for (; idx <= inR; idx++) {
      if (inorder[idx] === root.val) break;
  }

  // 生成左右子树
  root.left = build(preorder, preL + 1, preL + (idx - inL), inorder, inL, idx - 1);
  root.right = build(preorder, preL + (idx - inL) + 1, preR, inorder, idx + 1, inR);

  return root;
};
/**
 * @param {number[]} preorder
 * @param {number[]} inorder
 * @return {TreeNode}
 */
var buildTree = function (preorder, inorder) {
    return build(preorder, 0, preorder.length - 1, inorder, 0, inorder.length - 1);
};