ELECRec:将序列推荐模型作为判别器进行训练

413 阅读3分钟
论文题目:ELECRec: Training Sequential Recommenders as Discriminators[1]
论文来源:SIGIR2022
代码地址:ELECRec
一、Motivation

Sequential recommendation is often considered as a generative task, i.e., training a sequential encoder to generate the next item of a user’s interests based on her historical interacted items. Despite their prevalence, these methods usually require training with more meaningful samples to be effective, which otherwise will lead to a poorly trained model.

序列推荐经常作为生成任务进行训练,基于用户的交互历史训练一个编码器,用于生成用户的下一个可能感兴趣的商品。尽管这种方式很流行,但是这些方法通常需要许多有意义的样本进行训练,否则就会训练出来一个不好的模型。

Instead of predicting the next item, our method trains a discriminator to distinguish if a sampled item is a ‘real’ target item or not.

代替了原始的下一个商品预测,作者提出的模型是作为判别器,用于判别某个商品是否为下一个商品。

二、Model

image.png 模型由三部分组成,NIP(下一个商品预测任务)、DataSampler(数据采样器)和判别器(判断商品是否为下一个商品)。第一部分和第三部分使用的都是transformer[2]作为encoder。

image.png

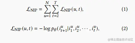
NIP任务就是预测当前item的下一个item。

image.png

生成器部分,生成最终的表示是用的softmax。

image.png

数据采样部分首先依据位置采样一部分序列出来,该采样出来的数据服从独立同分布。接着从生成器中依据刚刚采样的位置采样item,最后将原始的目标item替换为采样的item,将这个序列用于训练判别器。

image.png

image.png

判别器部分使用Sigmoid作为区分item的函数,使用BCE计算Loss。

最终使用joint-learning进行训练,总的Loss如下:

image.png

三、Data & Experments

主要使用了Yelp[3]和Amazon[4]的数据集。

四、Performance

image.png 从上表可以看出,ELECRec在多个数据集上都取得了SOTA的实验效果,并且其较于baseline有很大的提升。

五、Ablaton Study

image.png

(A)表示生成器和判别器使用权重相同的item嵌入;(B)表示两者使用不同的transformer;(C)表示只使用生成器,使用Softmax计算多类cross-entropy Loss(D)是基础模型,使用的BCE计算Loss。从表中可以看出,(A)与(B)相比,在有的数据集上使用共享权重的模型好,有的使用不同的模型参数训练效果好,这可能是因为数据集的原因。(C)与(D)相比,只有最后的计算Loss的方式不一样,但是效果提升较大,这说明了使用Softmax进行训练有较大的好处。

六、Conclusion

ELECRec通过引入判别任务使得实验结果获得显著提升,原因可能是判别器部分能够更好地捕捉item之间的交互关系,使得模型能够学习到更好的序列表示,从而提升推荐效果。

七、References

[1] Chen Y , Li J , Xiong C . ELECRec: Training Sequential Recommenders as Discriminators[J]. 2022.

[2] Ashish Vaswani, Noam Shazeer, Niki Parmar, Jakob Uszkoreit, Llion Jones,Aidan N Gomez, Łukasz Kaiser, and Illia Polosukhin. 2017. Attention is all you need. In Advances in neural information processing systems. 5998–6008.

[3] Yelp

[4] Julian McAuley, Christopher Targett, Qinfeng Shi, and Anton Van Den Hengel.2015. Image-based recommendations on styles and substitutes. In SIGIR. 43–52.