分类算法-逻辑回归与二分类

317 阅读4分钟

一起养成写作习惯!这是我参与「掘金日新计划 · 4 月更文挑战」的第20天,点击查看活动详情

分类算法-逻辑回归与二分类

逻辑回归(Logistic Regression)是机器学习中的一种分类模型,逻辑回归是一种分类算法,虽然名字中带有回归,但是它与回归之间有一定的联系。由于算法的简单和高效,在实际中应用非常广泛。

逻辑回归的应用场景

  • 广告点击率
  • 是否为垃圾邮件
  • 是否患病
  • 金融诈骗
  • 虚假账号

看到上面的例子,我们可以发现其中的特点,那就是都属于两个类别之间的判断。逻辑回归就是解决二分类问题的利器

逻辑回归的原理

输入

  • h(w)=W1x1+W2X2+W3X3…+b

逻辑回归的输入就是一个线性回归的结果。

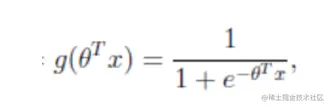
激活函数

  • sigmoid函数

在这里插入图片描述

  • 分析
    • 回归的结果输入到sigmoid函数当中
    • 输出结果:[0,1]区间中的一个概率值,默认为0.5为阀值 在这里插入图片描述

逻辑回归最终的分类是通过属于某个类别的概率值来判断是否属于某个类别,并且这个类别默认标记为1(正例),另外的一个类别会标记为0(反例)。(方便损失计算)

输出结果解释(重要):假设有两个类别A,B,并且假设我们的概率值为属于A(1)这个类别的概率值。现在有一个样本的输入到逻辑回归输出结果0.6,那么这个概率值超过0.5,意味着我们训练或者预测的结果就是A(1)类别。那么反之,如果得出结果为0.3那么,训练或者预测结果就为B(0)类别。

那么如何去衡量逻辑回归的预测结果与真实结果的差异呢?

损失以及优化

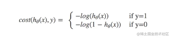
损失

逻辑回归的损失,称之为对数似然损失,公式如下:

  • 分开类别:

在这里插入图片描述

  • 综合完整损失函数

在这里插入图片描述

优化

同样使用梯度下降优化算法,去减少损失函数的值。这样去更新逻辑回归前面对应算法的权重参数,提升原本属于1类别的概率,降低原本是0类别的概率。

逻辑回归 API

  • sklearn.linear_model.LogisticRegression(solver=‘liblinear’, penalty='l2', C = 1.0)
    • solver可选参数:{‘liblinear’, ‘sag’, ‘saga’,‘newton-cg’, ‘lbfgs’},
    • 默认: ‘liblinear’;用于优化问题的算法。
    • 对于小数据集来说,“liblinear”是个不错的选择,而“sag”和’saga’对于大型数据集会更快。
    • 对于多类问题,只有’newton-cg’, ‘sag’, 'saga’和’lbfgs’可以处理多项损失;“liblinear”仅限于“one-versus-rest”分类。
    • penalty:正则化的种类 正则化项又叫做惩罚项,因为防止模型太精细了,要惩罚它
    • C:正则化力度 和线性回归中的alpha是一个道理

分类评估方法

精确率与召回率

  • 精确率:预测结果为正例样本中真实为正例的比例
  • 召回率:真实为正例的样本中预测结果为正例的比例(查得全,对正样本的区分能力)

还有其他的评估标准,F1-score,反映了模型的稳健型

在这里插入图片描述

分类评估报告 API

  • sklearn.metrics.classification_report(y_true, y_pred, labels=[], target_names=None )
    • y_true:真实目标值
    • y_pred:估计器预测目标值
    • labels:指定类别对应的数字
    • target_names:目标类别名称
    • return:每个类别精确率与召回率

例如:

ret = classification_report(y_test, y_predict, labels=(2,4), target_names=("良性", "恶性"))
print(ret)

labels=(2,4)本文中的数据2是良性,4是恶性,通过target_names=(“良性”, “恶性”))给了他们名字。 假设这样一个情况,如果99个样本癌症,1个样本非癌症,不管怎样我全都预测正例(默认癌症为正例),准确率就为99%但是这样效果并不好,这就是样本不均衡下的评估问题

问题:如何衡量样本不均衡下的评估

ROC曲线与AUC指标

TPR与FPR

  • TPR = TP / (TP + FN)

    • 正例的召回率

    • 所有真实类别为1的样本中,预测类别为1的比例

  • FPR = FP / (FP + TN))

    • 假例的召回率

    • 所有真实类别为0的样本中,预测类别为1的比例

ROC曲线

  • ROC曲线的横轴就是FPRate,纵轴就是TPRate,当二者相等时,表示的意义则是:对于不论真实类别是1还是0的样本,分类器预测为1的概率是相等的,此时AUC为0.5 在这里插入图片描述

AUC指标

AUC指标是由ROC曲线中得到来的,就是下面这部分的面积

  • AUC的概率意义是随机取一对正负样本,正样本得分大于负样本的概率
  • AUC的最小值为0.5,最大值为1,取值越高越好 AUC是面积,最大值是1,最小值是0.5,因为最差的就设置到0.5了,就是那条红色的虚线
  • AUC=1,完美分类器,采用这个预测模型时,不管设定什么阈值都能得出完美预测。绝大多数预测的场合,不存在完美分类器。
  • 0.5<AUC<1,优于随机猜测。这个分类器(模型)妥善设定阈值的话,能有预测价值。

AUC计算API

  • from sklearn.metrics import roc_auc_score
  • sklearn.metrics.roc_auc_score(y_true, y_score)
    • 计算ROC曲线面积,即AUC值
    • y_true:每个样本的真实类别,必须为0(反例),1(正例)标记
    • y_score:预测得分,可以是正类的估计概率、置信值或者分类器方法的返回值
# 0.5~1之间,越接近于1约好
y_test = np.where(y_test > 2.5, 1, 0)

print("AUC指标:", roc_auc_score(y_test, y_predict)