信号完整性(SI)电源完整性(PI)学习笔记(十)传输线的物理基础(三)

827 阅读8分钟

传输线的物理基础(三)

1.理想传输线是一种新的理想电路元件;恒定的瞬时阻抗相应的时延

2.当把理想的分布传输线近似为一系列的LC电路时,模型中表示的电感实际上就是回路电感。单位长度电容Cl,单位长度电感Ll都为常数,这两个参数被称为线参数

在这里插入图片描述

在极端情况下,当电容和电感无穷小时, LC 电路的节数就趋于无穷,单位长度电容C, 和单位长度电感L, 都为常数。这两个参数通常称为传输线的线参数。如果给出传输线的总长度Len, 那么总电容为:

在这里插入图片描述

总电感为:

在这里插入图片描述

其中:

CL​ 表示单位长度电容

LL​ 表示单位长度电感

Len 表示传输线长度

3.只看这个LC 电路, 很难想象信号是如何传输的。乍一看, 可能会认为这有很多振荡和谐振。但是, 当各元件是无穷小时。

运用网络理论, 根据传输线的线参数和总长度, 可以计算出传输线的特性阻抗和时延(在每个节点上都受到的瞬时阻抗):

在这里插入图片描述

其中:

Z0​ 表示特性阻抗,单位为Q

LL​ 表示传输线的单位长度回路电感

C, 表示传输线单位长度电容

TD 表示传输线的时延

Ltotal​ 表示传输线的总回路电感

Ctotal​ 表示传输线的总电容

v传输线中的信号速度

这两个预计的特性(特性阻抗和时延)必须和基于电容排列组成的有限速度的零阶模型导出的结果一致。将两个模型的结论联系起来,就可以得出很多重要的关系式。

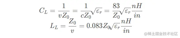
因为信号的速度取决千材料的介电常数、单位长度电容和单位长度电感,所以可以将单位长度电容和单位长度电感联系起来:

在这里插入图片描述

特性阻抗和速度的关系,可以得出下列关系式:

在这里插入图片描述

传输线的时延特性阻抗,可以得出下列关系式:

在这里插入图片描述

其中:

Z 表示特性阻抗,单位为Ω

LL​ 表示传输线的单位长度回路电感,单位为nH/in

CL​ 表示传输线单位长度电容,单位为nF/in

TD 表示传输线的时延,单位为ns

Ltotal​ 表示传输线的总回路电感,单位为nH

Ctotal​ 表示传输线的总电容,单位为nF

v 表示传输线中的信号速度,单位为in/ns

例如, 传输线的特性阻抗为50Ω,FR4 介电常数为4, 则单位长度的电容为CL=83/50x2=3.3( pF/in ) , 单位长度电感为: LL =0.083x50x2=8.3 ( nH/in ) 。

如果线宽加倍,则为了保持特性阻抗不变,电介质的厚度也应加倍,此时单位长度电容不变。

4.从导线横截面几何结构中求解特性阻抗:

(1)经验法则;

(2)解析近似式;

(3)二维场求解器。

5.FR4板上50Ω微带线的线宽等于介质厚度的两倍。而50Ω带状线的两平面之间的总介质等于线宽的两倍

在这里插入图片描述

6.几种类型横截面阻抗的确切公式:

在这里插入图片描述

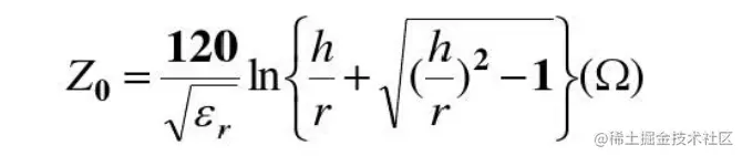
(1)同轴型横截面的特性阻抗与横截面的关系:

在这里插入图片描述

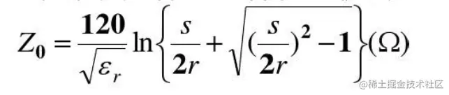
(2)双圆杆型横截面的特性阻抗与横截面的关系:

在这里插入图片描述

(3)圆杆-平面型横截面的特性与横截面的关系:

在这里插入图片描述

(4)微带线,IPC推荐近似公式:

在这里插入图片描述

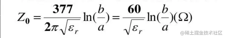
(5)带状线,IPC推荐公式:

在这里插入图片描述

7.在一阶模型中,微带线和带状线的特性阻抗与介质厚度和线宽的比值成比例变化,只要这个比值保持不变,特性阻抗就恒定不变。

8.**均匀的几何结构是二维场求解器的基本前提,即整条传输线的横截面形状是相同的。**均匀横截面积也是可控阻抗传输线的基本要义。在这种情况下,传输线的特性阻抗只有一个。

9.除了能准确地估算出特性阻抗,从二维场求解器还可以悟出二阶因素的如下影响:

(1)返回路径的宽度;

(2)信号线条的导线厚度;

(3)表面线条上阻焊层的存在;

(4)有效介电常数。

如果返回路径的宽度很窄,电容就很小,特性阻抗就很高。信号路径两边返回路径的延伸宽度应该约为介质厚度h的的3倍

10.随着导线厚度的增加,更多的边缘场会出现在侧边,这样每单位长度的电容就会增加。所以,随着导线厚度的增加,其特性阻抗会降低。

信号路径的厚度每增加1mil,特性阻抗约下降2Ω。

11.在很高的带宽内,实际互联与理想传输线的特性非常吻合,理想传输线是实际互联很好的模型。 在这里插入图片描述

理想传输线电路元件是一个分布模型。图给出了1 in长末端开路传输线的测量阻抗与仿真阻抗的频域比较。可以看出, 在测量带宽5GHz内,两者相当吻合。

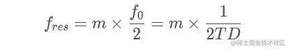
12.当理想传输线长度为半波长的整数倍时,传输线的阻抗就会出现谐振峰值:

在这里插入图片描述

在这里插入图片描述

在这里插入图片描述

其中:

fres​ 表示阻抗中峰值的频率;

m 表示峰值的个数, 即传输线上的半波数目;

TD 表示传输线的时延;

f0​表示传输线上全波的频率。

m=1 时,第一个谐振频率为1x 1 GHz/2=0.SGHz 。这时传输线上只有一个半波,时延TD 为lns 。m=2 时,第一个谐振频率为2x lGHz/2=1GHz 。这时传输线上恰好有一个全波。下图画出了这些谐振的驻波模式。

单节LC 电路模型的带宽约为第一个谐振频率的四分之一, 即约为125MHz 。增加传输线的节数, 就可以提高模型的带宽。如果把传输线分成两节,则每节都可以建成相同的LC模型, 其中每节的L和C分别为Ltotal/2和Ctotal/2 。下图给出了两节LC模型的带宽约在第一个谐振峰值的二分之一处, 频率约为250MHz。

在这里插入图片描述

增加传输线的分节数,可以进一步扩展集总电路模型的带宽。可以用LC 集总电路单元的级联来近似这个理想电路模型。下图给出了理想传输线和16节LC集总电路模型的比较, 其中每节的L和C分别为Ltotal16和Ctotal/16。这个模型带宽达到第4个谐振峰值, 即2GHz。

在这里插入图片描述

根据理想传输线的时延,可以估算出n 节集总电路模型的带宽。上面的例子表明, LC 模型的节数越多,带宽就越高。一节模型的带宽只有第一个谐振频率的四分之一,两节模型的带宽为第一个谐振频率的二分之一, 16 节模型的带宽为第4 个谐振频率。可以归纳出吻合的最高频率一一模型的带宽:

在这里插入图片描述

其中:

BWmodel​ 表示 n 节集总电路模型的带宽

n 表示模型中 LC 的节数

TD 表示传输线的时延

f0​表示全波的谐振频率,等于 1/TD

为了使关系式更简洁、便于记忆,把它们近似为 n = 10 × B W m o d e l × T D n=10×BW_model×TD n=10×BWm​odel×TD, 而不是采用n=8×BWmodel×TDn=8 × BW_{model} × TD

这是个非常重要的经验法则,它说明了要使模型的带宽达到1/TD, 需要10 节LC 电路。也就是说因为这个频率相当于传输线上仅有一个全波,为了更好地近似,每1/10个信号波长就必须对应一节 LC 电路。

也可以估算出用单个LC 电路近似传输线时的带宽,或者说, 在多高的频率范围内传输线可以近似成单个LC 电路。单个LC 电路的带宽为:

在这里插入图片描述

如果信号的上升沿时间为RT, 则信号带宽为BWsig=0.35/RT 。如果传输线的时延为TD, 并用n节集总电路模型来近似, 则必须保证模型的带宽BWmodel至少大于信号的带宽BWsig:

在这里插入图片描述

BWsig​ 表示信号的带宽;

BWmodel​ 表示模型的带宽;

RT 表示信号的上升时间;

TD 表示传输线的时延;

n 表示精确模型所需LC电路的最小节数。

表明, 如果上升沿时间等千传输线时延, 则此传输线的精确模型至少需要3.5节LC 电路。用n节LC模型精确地描述一条传输线时, 前沿的空间延伸至少需要3.5节LC 电路, 或者说, 每1/3前沿时间与传输线的相互作用可以用一个集总电路元件来近似。

在这里插入图片描述

13.在FR4 中, 信号速度约为6in/ns(光速), 当上升时间为RT 时, 每节LC 电路对应线长为1.7RT 。当给定上升时间RT(ns) 时,n节LC集总电路模型要达到足够高的带宽,每节LC电路对应的线长必须小于1.7RT(in) 。

14.约在50MHz 以上时,传输线的特性阻抗是个常量,不再随频率而变化。这个值就是通常用来估计各种高速信号性能的“高频“特性阻抗。