LeetCode 103.二叉树的锯齿形层序遍历

102 阅读1分钟

参加了 kkb 的门徒培训,想要记录下自己的成长过程。每天一篇,坚持不断更(补) --- 2022.4.3

题目描述

给你二叉树的根节点 root ,返回其节点值的 锯齿形层序遍历 。(即先从左往右,再从右往左进行下一层遍历,以此类推,层与层之间交替进行)。

 

示例 1:

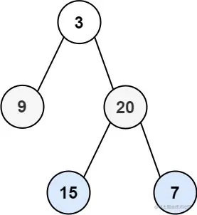
输入: root = [3,9,20,null,null,15,7]
输出: [[3],[20,9],[15,7]]

示例 2:

输入: root = [1]
输出: [[1]]

示例 3:

输入: root = []
输出: []

 

提示:

  • 树中节点数目在范围 [0, 2000] 内
  • -100 <= Node.val <= 100

解题思路

LeetCode 102.二叉树的层序遍历 类似,反转下偶数层

/**
 * Definition for a binary tree node.
 * function TreeNode(val, left, right) {
 *     this.val = (val===undefined ? 0 : val)
 *     this.left = (left===undefined ? null : left)
 *     this.right = (right===undefined ? null : right)
 * }
 */
/**
 * @param {TreeNode} root
 * @return {number[][]}
 */
var zigzagLevelOrder = function(root) {
    const ans = [];
    if (!root) return ans;
    // 用于保存未计算的叶子节点
    const q = [];
    // 添加根节点
    q.push(root);
  
    while (q.length) {
      // 返回当前层的遍历结果
      const an = [];
  
      // 由于 q 长度会变,所以需要提前记录
      const len = q.length;
      for (let i = 0; i < len; i++) {
        const node = q.shift();
        an.push(node.val);
  
        node.left && q.push(node.left);
        node.right && q.push(node.right);
      }
  
      ans.push(an);
    }

    ans.forEach((item, i) => {
        item = i % 2 ? item.reverse() : item;
    })

    return ans;
};