「leetCode」637-二叉树的层平均值⚡️

195 阅读2分钟

一起养成写作习惯!这是我参与「掘金日新计划 · 4 月更文挑战」的第27天,点击查看活动详情

大家好,我是速冻鱼🐟,一条水系前端💦,喜欢花里胡哨💐,持续沙雕🌲,是隔壁寒草🌿的好兄弟,刚开始写文章。 如果喜欢我的文章,可以关注➕点赞,为我注入能量,与我一同成长吧~

题目🦀

637. 二叉树的层平均值

难度简单

给定一个非空二叉树的根节点 root , 以数组的形式返回每一层节点的平均值。与实际答案相差 10-5 以内的答案可以被接受。

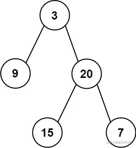
示例 1:

img

输入:root = [3,9,20,null,null,15,7]
输出:[3.00000,14.50000,11.00000]
解释:第 0 层的平均值为 3,第 1 层的平均值为 14.5,第 2 层的平均值为 11 。
因此返回 [3, 14.5, 11]

示例 2:

img

输入:root = [3,9,20,15,7]
输出:[3.00000,14.50000,11.00000]

提示:

  • 树中节点数量在 [1, 104] 范围内
  • -231 <= Node.val <= 231 - 1

解题思路🌵

  • 此题采用层序遍历
  • 才每一层遍历的时候记录当前的sum
  • 每次层结束完成计算当前层的平均sum加入result结果集

解题步骤🌟

  • 此题采用层序遍历
  • 处理边界条件
  • 初始化queue result
  • 循环queue队列
  • 获取queue的长度
  • 遍历当前层的所有结点
  • 每层循环完计算每层的平均值
  • 最后返回result

源码🔥

/**
 * Definition for a binary tree node.
 * function TreeNode(val, left, right) {
 *     this.val = (val===undefined ? 0 : val)
 *     this.left = (left===undefined ? null : left)
 *     this.right = (right===undefined ? null : right)
 * }
 */
/**
 * @param {TreeNode} root
 * @return {number[]}
 */
var averageOfLevels = function(root) {
    if(!root){
        return []
    }
    const result = []
    const queue = [root]
    while(queue.length){
        const len = queue.length
        let currentSum = 0;
        for(let i = 0; i < len; i++){
            const node = queue.shift()
            currentSum += node.val
            node.left && queue.push(node.left)
            node.right && queue.push(node.right)
        }
        result.push(currentSum/len)
    }
    return result
};

时间复杂度:O(N)

空间复杂度:O(N)

结束语🌞

那么鱼鱼的LeetCode算法篇的「leetCode」637-二叉树的层平均值⚡️就结束了,虽然前端对算法要求没有后端高,但是算法是编程基础,程序=数据结构➕算法,所以算法这个东西没有捷径,只能多写多练,多总结,文章的目的其实很简单,就是督促自己去完成算法练习并总结和输出,菜不菜不重要,但是热爱🔥,喜欢大家能够喜欢我的短文,也希望通过文章认识更多志同道合的朋友,如果你也喜欢折腾,欢迎加我好友,一起沙雕,一起进步

github🤖:sudongyu

个人博客👨‍💻:速冻鱼blog

vx👦:sudongyuer

写在最后

伙伴们,如果喜欢我的口水话给🐟🐟点一个赞👍或者关注➕都是对我最大的支持。