梯度下降

215 阅读1分钟

什么是梯度下降算法

如何用梯度下降算法实现线性回归

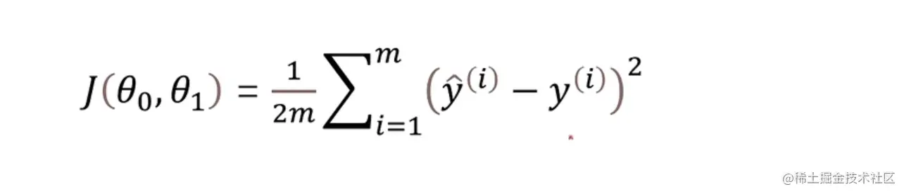
损失函数

3f5097bfcaac2cc532ef711a7110704a.png

θ0,1分别代表了截距与斜率,求θ0,1使得损失最小

梯度

75fc21bce81e3f08df2070a0c49cdc8d.png

在此图中z轴可以作为损失函数的结果,z越大损失越大,z越小损失越小,可以想像一个球放在山坡上,应该往什么方向走到谷底,什么方向走的最快,谷底就是损失最小的点。其中梯度就是对损失函数的θ0,1求偏导。

梯度下降的算法过程

95781af7e098e72f4885653ae87b4cae.png

通过遍历θ0,1,在此过程中求导即计算梯度,最后将θ0,1减去梯度乘学习率的值进而更新网络中的θ0,1。