信号完整性(SI)电源完整性(PI)学习笔记(八)传输线的物理基础(一)

1,330 阅读10分钟

传输线的物理基础(一)

1.传输线;两条有一定长度的导线组成的,一条称为信号路径,一条称为返回路径。特性是:特性阻抗和时延

2.当信号沿传输线传输时,需要同时用到信号路径和返回路径。如果两个导线不想同,如微带线,则通常把较窄的那一条称为信号路径,而把平面称为返回路径。

3.如果知道信号感受到的阻抗,根据信号电压大小就能计算出电流,从这个意义上讲,信号可以被定义成电压或电流。

4.几何结构中有两个基本的特征完全决定了传输线的电气特性:

(1)导线沿线横截面的均匀程度;

(2)两条导线的相似度和对称程度。

①如果导线上任何一处的横截面都相同,比如同轴电缆,则称这种传输线为均匀传输线,也称为可控阻抗传输线。

②如果传输线是均匀的或者是有可控阻抗的,那么反射就会减小, 信号的质量就会更优。所有的高速互连线都必须设计成均匀传输线。

如何定义不均匀?: 整条导线中。若几何结构或材料属性发生变化传输线就是不均匀的。例如,如果两条导线的间距是变化的而不是恒定的, 那么它就是非均匀传输线。非均匀传输线除非走线足够短,否则就会引起信号完整性问题,所以应避免这种情况发生。

在这里插入图片描述

5.在信号完整性的优化设计中,其中一个设计的目标就是:将所有互联都设计成均匀传输线,并减小所有非均匀传输线的长度。

6.如果两条导线的形状大小都一样,即他们是对称的,就成这种传输线为平衡传输线。一般来说, 绝大多数传输线,无论是平衡的还是非平衡的。它们对信号的质量和串扰效应都完全没有影响, 然而,返回路径的具体结构将严重影响地弹和电磁干扰问题。

7.导线中电子的速度与信号的速度内有任何关系,由此可得,导线的电阻对传输线上信号的传播速度几乎没有任何影响。

8.什么决定了信号的传播速度?

(1)导体周围的材料;

(2)信号在传输线导体周围空间形成的交变电磁场的建立速度;

(3)信号在传输线导体周围空间形成的交变电磁场的传播速度。

在这里插入图片描述

信号就是信号路径与返回路径之间的电压差。当信号线在传输线上传播时,两导线之间就会产生电压,而这个电压又使两导线之间产生电场。除了电压之外,电流必须在信号路径和返回路径上流动,这样使两导线带上了电荷并产生电压差,继而又建立的电场,而两导体之间的电流回路产生了磁场。

实际上,电场和磁场建立的快慢决定了信号的速度这些场场的传播和相互作用可以由麦克斯韦方程来描述。这就是说,只耍电场和磁场在变化,由此而形成的铰链电磁场就向外传播,它的速度取决于一些常量和材料特性。

电磁场的变化速度, 或场链的速度v由下式得到:

在这里插入图片描述

其中:

ε0​ 表示自由空间的介电常数.其值为8.89×10-12 F/m

εr​ 表示材料的相对介电常数

μ0​ 表示自由空间的导磁率,其值为4π × 10-7 H/m

μr​ 表示材料的相对导磁率(实际上,几乎所有的互连材料的相对导磁率都为1 。所有不含铁磁体材料的聚合物,其导

磁率都为1 。因此,导磁率这一项可以忽略。)

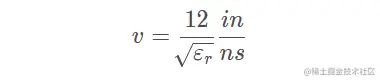
经验法则:空气中,相对介电常数和相对导磁率都为1, 光的速度为12 in/ns

代入数据,可得:

在这里插入图片描述

相比之下,除了空气,其他材料的介电常数总是大于1 。所有实际互连材料的介电常数通常都大于1 。这说明互连中的光速总是小于12in/ns,其速度为:

在这里插入图片描述

为了方便,通常将相对介电常数简称为"介电常数”。介电常数是一个非常重要的参数,它描述了绝缘体的一些电气特征。绝大多数聚合物的介电常数约为4, 玻璃约为6, 陶瓷约为10。

9.时延TD 与互连线长度的关系如下:

在这里插入图片描述

其中:

TD 表示时延,单位为ns

Len 表示互连线长度,单位为m

v 表示信号的速度,单位为in/ns

这说明当信号在 FR4 上长为 6 in 的互连线中传输时,时延约为6 叫6in/ns, 即约为1ns 。如果传输长度为12 in, 则时延为2ns

10.当信号在传输线上传播时,前沿就在传输线上拓展开,在空间上呈现出一个延伸。传输线在上升边内的长度d(len),取决于信号的传播速度和上升边。

在这里插入图片描述

在这里插入图片描述

其中:

d 表示上升时间的空间延伸, 单位为in

RT 表示信号的上升时间,单位为ns

v 表示信号的速度,单位为in/ns

11.从脚底流出的电流与单位长度电容和信号的速度直接成比例,每一步所受到的阻抗称之为瞬时阻抗。

在这里插入图片描述

CL​ 表示线的单位长度电容

12.沿着传输线往下走,信号将不断地探测到每一步的瞬态阻抗。瞬态阻抗的值等于线上所加的电压与电流之比,这个电流用于传输线的充电和信号向下一步的传播。把信号每步受到的阻抗称为传输线的瞬时阻抗。沿着传输线往下走,信号将不断地探测到每一步的瞬时阻抗。瞬态阻抗的值等于线上所加的电压与电流之比,这个电流用于传输线的充电和信号向下一步的传播。

13.当信号遇到的瞬态阻抗变化时,一部分信号被反射,一部分更加失真,信号完整性会受到破坏。这就是对信号受到的瞬态阻抗需要加以控制的主要原因。

在这里插入图片描述

14.在这个模型中,步长为 Δx,每个小电容的大小就是传输线单位长度的电容量 CL​与步长的乘积:

在这里插入图片描述

使用这个模型,可以计算从脚底流出的电流 I。电流的大小就是在每步时间间隔内从脚底流出注入到每个电容上的电量。注入电容的电量 Q,等于电容乘以其两端的电压v,每走一步,就把电量 Q 注入到导线上。每步之间的时间间隔 Δt 等于步长丛除以信号的速度 v 。当然,传输实际信号时,步长非常小,但是时间间隔也非常小。每个时间间隔内需要的电量,也就是信号在导线上传播时的电流,是一个常量:

在这里插入图片描述

I 表示信号的电流

Q 表示每步的电量

C 表示每步的电容

Δt 表示从一个电容跨到另一个电容的时间

CL​ 表示传输线单位长度的电容量

Δx 表示电容间的跨度或步长

v 表示信号的速度

V 表示信号的电压

这就是说,从我们脚底流出并注入到导线上的电流仅与单位长度的电容量、信号的传播速度以及信号的电压有关。传输线上任何一处的瞬时电流与电压成正比。如果施加的电压加倍,则流入传输线的电流也加倍。这与电阻的特性完全一致。所以在传输线上每前进一步时,信号受到的阻抗就像电阻性负载一样。

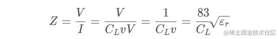
从这个关系式,可以计算出信号沿传输线传播时受到的瞬态阻抗。瞬态阻抗等于施加的电压与流过器件的电流的比值: 在这里插入图片描述

其中:

Z 表示传输线的瞬态阻抗,单位为 Ω

CL​ 表示单位长度电容量,单位为pF/in

v 表示材料中的光速

εr​ 表示材料的介电常数

所以,信号受到的瞬态阻抗仅由传输线的两个固有参数决定,即由传输线的横截面和材料的特性共同决定,与传输线的长度无关。

15.制约信号速度的部分原因就是信号路径和返回路径之间的串联回路电感。(一阶模型中还包括单位长度电感)

16.对于均匀传输线,当信号在上面传播时,在任何一处受到的瞬时阻抗都是相同的。这个瞬时阻抗可以表征传输线特性,这里称之为特性阻抗****Z0.

17.特性阻抗描述了信号沿传输线传播时受到的瞬时阻抗,这是影响传输线电路中信号完整性的一个主要因素。 对于均匀传输线,其特性阻抗为: 在这里插入图片描述

18.瞬时阻抗为常量的传输线称为可控阻抗传输线。电路板被称为可控阻抗电路板。所有的高速数字产品,如跟电路板的尺寸大于6 in . 而且时钟频率高于100MHz,就都应制成可控阻抗电路板。

19.增加两导线的距离,电容就会减小,相应的特性阻抗将增加;如果增加微带线中信号线的宽度, 就会增加单位长度电容,相应的特性阻抗将减小。

20.常见的特性阻抗: 在这里插入图片描述

自由空间的特性阻抗有特殊的、重要的含义。我们前面提到,传输线上传播的信号实际上是光,信号路径和返回路径收集并引导电磁波。电磁波传插场以光速在复合电介质中传播。如果没有导线的引导,光就会以电磁波的形式在自由空间中传播。电磁波在空间传播时,电场和磁场就会受到一个阻抗,这个阻抗与两个基本常量有关:自由空间的导磁率和自由空间的介电常数: 在这里插入图片描述

代入这两个常数,所得的结果就是电磁波受到的阻抗。我们称它为自由空间的特性阻抗,其值约为377Ω 这个值很重要,当天线的阻抗与自由空间的特性阻抗(377 Ω) 相匹配时,

天线的辐射量是最优的。 50Ω

注意,它大致是同轴线几何外形的衰减和可制造性的最佳平衡点。如果是在FR4 板上,当线宽是介质厚度的两倍时,可以制造出50Ω左右特性阻抗的微带线。因此,只能大致是最优的。

除非系统的驱动能力很强,否则一般都采用50 Ω。