信号完整性(SI)电源完整性(PI)学习笔记(六)电感的物理基础(一)

362 阅读5分钟

电感的物理基础

1.电感的定义:通常是指由导线绕成的线圈或螺线杆的电感,其中有磁力线通过。或者说对表面磁场强度的数值积分。

2.电感三个基本法则:

(1)电流周围会形成闭合磁力线匝数;

(2)电感是导体电流1A时周围的磁力线匝数;

(3)周围磁力线匝数改变时,导体两边产生感应电压。

3.我们以韦伯Wb为单位计算电流周围的磁力线匝数,但是磁力线受很多因素的影响:

(1)导体中电流的大小影响电流周围磁力线匝数,电流越大磁力线匝数就会增加;

(2)导体长度越长,磁力线匝数就越多;

(3)导体的横截面积也影响磁力线匝数,但是这是个二阶效应,比较复杂;

(4)附近其他电流的存在也会对第一个电流周围的磁力线匝数产生影响;

(5)计算第一条导线周围的磁力线匝数时,总要把自身的磁力线匝数和返回路径的磁力线匝数相叠加。

4.电感是通过单位安培电流时其周围的磁力线圈韦伯数大小的度量:

在这里插入图片描述

其中:

L 表示电感,单位为 H

N 表示导体周围的磁力线匝数,单位为 Wb

I 表示导体中的电流,单位为A

若通过导体的电流加倍,磁力线的匝数也会加倍,但二者比率不变,且该比率与通过导体的电流完全无关。同样,磁力线的匝数改变时,表示这一比率的电感依然不变。

5.我们把一条导线自身电流产生的磁力线圈称为自磁力线圈,把由邻近电流产生的磁力线圈称为互磁力线圈。

6.自感是指导线中流过单位安培电流时,所产生的环绕在导线自身周围的磁力线匝数。

7.同理,互感是指一条导线中流过单位安培电流时,所产生的的环绕在另一条导线周围的磁力线匝数;

(1)互感具有对称性;

(2)两条导线之间的互感小于二者中任一个的自感。

在这里插入图片描述

8.一段导线周围的磁力线匝数发生变化,导线两端就会产生感应电压。

磁力线圈有一个特殊性质:不管什么原因,只要一段导线周围的磁力线总匝数发生变化,导线两端就会产生电压。该电压与磁力线总匝数变化的快慢有着直接关系:

在这里插入图片描述

其中:

V 表示导线两端的感应电压

ΔN 表示磁力线匝数的变化量

Δt 表示磁力线匝数变化的时间

在这里插入图片描述

如果导线中的电流发生变化,则其周围的自磁力线圈的匝数也将变化,从而在导线两端产生电压。导线周围的磁力线匝数为N=L×I, 其中 L 是这段导线的自感。于是,导线两端所产生的电压(即感应电压)与导线的电感和导线中电流变化的快慢有关:

在这里插入图片描述

这个由电流变化产生的感应电压引起传输线效应、突变、串扰、开关噪声、轨道塌陷、地弹和大多数电磁于扰源(EMI)。感应电压正是信号完整性中意义重大的根本原因,如果电流变化时,没有感应电压产生,信号就不会受到电感的影响。

9.互磁力线匝数的变化在第一条导线的两端产生感应电压,另一条导线中的电流发生变化时,我们用串扰来描述,邻近导线上产生的感应电压噪声:

在这里插入图片描述

其中:

Vnoise​ 表示第一根导线中的感应电压噪声

M 表示两根导线之间的万感

I 表示第二根导线中的电流

10.感应电压取决于电流变化的速度,所以有时候用开关噪声或 ΔI 噪声来描述电感线圈中电流切换时产生的噪声。

11.局部电感: 在计算磁力线圈的时候,假设这段导线所属的电流回路的剩余部分中不存在电流。由于仅考虑了电流回路的一部分,而且假设回路的其他部分不存在电流,所以把这种电感称为局部电感。一定要记住,当谈到局部电感时,回路的其他部分是不存在的。

分类:

(1)局部自感

(2)局部互感

对于直环形导线,值用简单的近似所计算的局部自感,其精度优于几个百分点,近似式如下:

在这里插入图片描述

其中:

L 表示导线的局部自感,单位为 nH

r 表示导线的半径,单位为in

d 表示导线的长度,单位为 in

在这里插入图片描述

重要特性:局部自感的一个重要特性:电流分布越分散,局部电感就越小。反之, 电流分布密度越大,局部电感就越大。

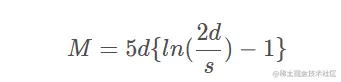
两根直的圆导线的局部互感可以近似为:

在这里插入图片描述

其中:

M 表示导线间的局部互感,单位为 nH

d 表示两圆杆的长度,单位为 in

s 表示两导线的中心距,单位为in

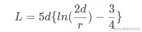
上述这个繁琐公式考虑到了二阶效应,一般认为它是二阶模型。当 s«d 时,即中心距相对于圆杆长度很小时,此公式可以进一步近似简化为: 在这里插入图片描述

这是个一阶模型,忽略了两圆杆之间远距离耦合的一些细节,是以牺牲精确度来简化计算的。 当两个导线段间距远大于导线长度时,两段导线间的局部互感小于任一段导线局部自感的10%, 这时互感通常可以忽略不计。