CenterNet++ for Object Detection解读

567 阅读1分钟

github:github.com/Duankaiwen/…

论文地址:arxiv.org/pdf/2204.08…

主要思路

image.png

主要预测中心点,左上角顶点,右下角顶点三个位置。 相比传统的anchor free的算法,这篇文章主要特点在于gt的定义。

image.png

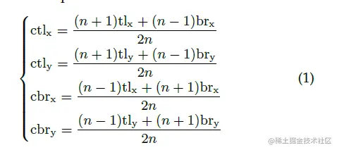
如图所示,根据参数N设置了中心区域,再根据中心区域月heatmap的落点,确定正负样本。 计算公式如下:

image.png 其余部分与传统的anchor free的模型基本相似,在此不做过多记录。

各个结构的细节

backbone

采用常见的backbone,resnet18,resnet50,resnet101,swim-transfomer等。

neck

采用的5层的FPN结构,其中p6和p7没有concat,在这里保持怀疑p6和p7对模型的影响。

head

在head这边需要计算中心,左上、右下3个点,在head优化pooling方法,具体结构如下。可以去对比centerNet的pooling方式

image.png

loss

整个loss结构如下:

image.png

其中LclsL_{cls}为Focalloss,LregL_{reg}为GIou,LkpL_{kp}为高斯Focalloss,LoffL_{off}为SmoothL1Loss.

对比centernet和总结

对比centernet主要区别在与重新的定义的gt的意义以及center的范围,其次在loss上稍作了调整。可以看成centernet的升级版。在bottom-up的网络中表现尚可,与top-down结构也能抗衡,但是没有特别眼前一亮的感觉。 文中实验结果:

image.png