异常检测4

133 阅读3分钟

一起养成写作习惯!这是我参与「掘金日新计划 · 4 月更文挑战」的第20天,点击查看活动详情 

Hello,非常感谢你的关注~ 我是机器学习与风控,一名末流985的本硕,无顶会、无大厂核心部门实习,拥有多个比赛的竞赛经历,秋招刷了leetcode500题,在秋招提前批中收获字节跳动,腾讯,阿里,美团等大厂offer,最终选择入职字节风控,从事与黑产对抗的工作。我会定期分享我的春招、秋招亲身求职体验;算法岗日常工作;数据挖掘比赛,经典图模型等日常学习等有料也有趣的内容~秋招到了,欢迎各位私信找我内推!!!部门缺少开发,算法等岗位验证缺人。

www21 Pick and Choose: A GNN-based Imbalanced Learning Approach

for Fraud Detection

\

动机:

1.第一个挑战是冗余链路信息。例如垃圾邮件会雇佣正常的人发垃圾信息,从而使得这些正常人产生一些垃圾边(冗余)。垃圾人会隐藏其中

  1. 欺诈者之间会缺少边。

方法:

Pick: Label-balanced Sampler

根据数据中正负样本比例以及标签比例, 决定该节点 v被选择的概率,从而使得类别平衡。

Choose: Neighborhood Sampler

过采样 少类别的节点。

欠采样 多类别的节点。(节点间的距离小于p,这里的距离采用了一个新定义的距离函数,定义为标签之间的距离)

learniing:

\

数据集:

也可以看作欺诈评论检测。有代码和数据 。 节点分别是评论以及用户。

\

\

CIKM21 Prohibited Item Detection on Heterogeneous Risk Graphs

总结:

并提出了一种新的异质自监督的禁限售商品检测模型HSPD。

动机:

单纯的属性信息容易被伪装,所以用图结构。

监督信息过少!! 并且禁售商品之间的标签粒度过大,直接当作相同的标签,去学习问题较大。

\

方案:

异构图的自监督模式:随机遮盖和节点的边,预测边的关系作为正例,用负采样生成无关的节点边 作为负例。

偏序成对自训练的监督增强:

构造成对的标签去训练,丰富监督信息,以更好地泛化,

\

自训练的 迭代 选取置信度高的数据打上新的标签 加入到训练集。

数据集:

无代码和数据

intention-aware Heterogeneous Graph Attention Networks for Fraud Transactions Detection

动机:

大多数现有的方法把每笔交易作为一个独立的数据实例,而没有考虑交易级别的交互,逻辑理论设备等交互。本文考虑序列级别的关注以及交易关注。

方法:

  1. 从 顺序的行为中提取出意图,构造出节点和新的图。

图中包含2类节点2类边。

交易节点和兴趣节点。

交易与交易的边(3天的属性共线关系),交易与兴趣的边(从属关系)。

  1. 特征初始化:

获得兴趣邻居,然后用lstm获得隐状态,最后一个时刻作为intention的表示。

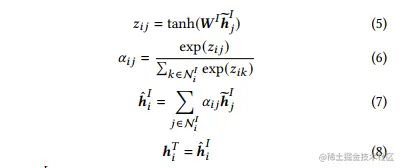
  1. 兴趣 感知的异构注意力网络

考虑了不同intention的顺序关系以及相互之间关系,然后对这些intention注意力聚合。

核心模型如下图

有意思的点:对于每笔交易,找到过去24小时的 行为产生兴趣,从而在整个数据集中有312种不同的行为名字。

数据集:

无代码 无数据

\