机器学习数学基础五:数据科学的一些基本分布

193 阅读1分钟

一起养成写作习惯!这是我参与「掘金日新计划 · 4 月更文挑战」的第11天,点击查看活动详情。 ​

目录

 

一,正态分布

二,二项式分布

 三,泊松分布

 四,均匀分布

 五,卡方分布

 六,Beta分布


一,正态分布

 

PDF:概率密度函数

CDF:累积概率密度函数

二,二项式分布

1,二项式分布就是只有两个可能结果的分布,比如成功或失败、得到或者丢失、赢或败,每一次尝试成功和失败的概率相等。


2,每一次尝试都是独立的,因为前一次投掷的结果不能决定或影响当前投掷的结果。只有两个可能的结果并且重复n次的实验叫做项式。二项分布的参数是n和p,其中n是试验的总数,p是每次试验成功的概率。


3,在上述说明的基础上,二项式分布的属性包括: .
●每个试验都是独立的。
●在试验中只有两个可能的结果:成功或失败。
●总共进行了n次相同的试验。
●所有试验成功和失败的概率是相同的。(试验是一样的)

4, 

 ●PMF(概率质量函数):是对离散随机变量的定义.是离散随机变量在各个特定取值的概率.该函数通俗来说就是对于-一个离散型概率事件来说,使用这个函数来求它的各个成功事件结果的概率.

●PDF(概率密度函数):是对连续性随机变量的定义.与PMF不同的是PDF在特定点上的值并不是该点的概率,连续随机概率事件只能求-段区域内发生事件的概率,通过对这段区间进行积分来求:通俗来说,使用这个概率密度函数将想要求概率的区间的临界点(最大值和最小值)带入求积分.就是该区间的概率.

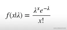
 三,泊松分布

定义:

现实生活多数服从泊松分布

当以下假设有效时,则称为泊松分布.
●任何一个成功的事件都不应该影响另一个成功的事件。
●在短时间内成功的概率必须等于在更长的间内成功的概率。
●时间间隔很小时,在给间隔时间内成功的概率趋向于零。

(1)将该时间段无限分隔成若千个小的时间段,在这个接近于零的小时间段里,该事件发生--次的概率与这个极小时间段的长度成正比。
(2)在每一个极小时间段内,该事件发生两次及以上的概率恒等于零。
(3)该事件在不同的小时间段里,发生与否相互独立。

 四,均匀分布

 

 五,卡方分布

1,定义:

通俗的说就是通过小数量的样本容量去预估总体容量的分布情况
卡方检验就是统计样本的实际观测值与理论推断值之间的偏离程度

 六,Beta分布

beta分布可以看作一个概率的概率分布,当你不知道一个东西的具体概率是多少时,它时以给出了所有概率出现的可能性大小.