多目标优化--MOEAD算法笔记

1,514 阅读9分钟

MOEA/D学习笔记

阅读文献:MOEA/D: A Multiobjective Evolutionary Algorithm Based on Decomposition 中文翻译版本:download.csdn.net/download/qq…

简介

基于分解的多目标算法首先是2007年由Qingfu Zhang等人提出。主要思想是将一个多目标优化问题分解为若干个标量优化子问题,并同时对它们进行优化。每个子问题只利用相邻的几个子问题的信息进行优化,使得MOEA/D算法在每一代的计算复杂度都低于MOGLS和非支配排序遗传算法II(NSGA-II)。

Introduction

多目标优化问题的数学模型一般可以写成如下形式 其中fi (x)(1≤i≤n)表示n个目标函数,x⊆R^m^ 是其变量的约束集合,可以理解为变量的取值范围fi的目标是相互矛盾的,因此用帕累托最优来权衡各个目标。 在许多多目标优化的实际应用中,决策者需要近似PF来选择最终的优选解(1.获取完整的PF 耗时。2.信息溢出,决策者可能对处理过多的帕累托最优向量不感兴趣)。 PF的近似可以分解为若干个标量目标优化子问题。这是许多用于逼近PF的传统数学规划方法背后的基本思想。现在有许多的聚合方法,最流行的是切比雪夫法和加权法。最近,边界交叉方法也引起了许多的关注。 MOEA/D特征

  1. MOEA/D为将分解方法引入多目标进化计算提供了一种简单而有效的方法。通常在数学规划社区中开发的分解方法可以很容易地合并到MOEA/D框架中的EAS中,用于求解MOPS。
  2. 由于MOEA/D优化的是标量优化问题,而不是直接解决MOP的整体问题,因此在MOEA/D的框架下,给非分解MOEA带来困难的适应度分配和多样性维护等问题可以变得更容易处理。
  3. 与NSGA-II和MOGLS相比,MOEA/D在每一代都具有较低的计算复杂度。MOEA/D利用相邻子问题的解的信息去同时优化N标量子问题。相对来说,MOEA/D不会重复的优化标量子问题,因为它利用了子问题之间的协同进化机制,所以算法的计算复杂度比较低。
  4. 在MOEA/D中使用标量优化方法是非常自然的,因为每个解都与一个标量优化问题相关联。

多目标优化的分解算法

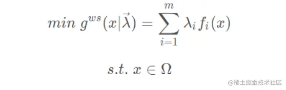
1.权重求和法

权重求和法最常用的聚合方法,假设待优化的多目标问题有M个总目标,该函数通过一个非负的权重向量λ =(λ1,λ2,⋯,λm) 加权到每个目标上将MOP转换为单目标子向量,数学表达式为: 在这里插入图片描述 其中,向量λ =(λ1,λ2,⋯,λm) 是一组权重向量,每个权值分量λi 分别对应第i个目标向量,对于λi>=0且λi之和为1。 在这里插入图片描述 根据数学表达式λi*fi可以看成点fi在λ方向的投影,然后寻找最小值。通过图像分析,我们可以作几条等高线,就是垂直于λ的线,这样我们可以看从原点到直角点的距离就是fi在λ方向的投影,因此很容易可以看出来,A点就是最短距离的点。同理,以此类推,找出最短距离的点,共同生成一组不同的帕累托最优向量。 但是权重求和法有限制,标准的权重求和法不能处理非凸问题,因为由上图可知,对于非凸问题,每个参照向量的垂线与其前沿不可能相切。

2.切比雪夫聚合方法

切比雪夫的数学表达式如下: 在这里插入图片描述 根据表达式可知找出λi(fi(x)-zi)的最大值,为什么需要取得最大值? 我们可以这样想,数值越大说明什么呢?说明在这个目标函数上离理想点越远。假设λ1(f1(x)-z1是比较大的值,我们逐渐改变x,让这个值离z越来越近,直到到达Pareto front上对应的点为止。这个过程其实就是在求这个函数g(x)=λ1(f1(x)-z1)的最小值。如果连这个较大的λ1(f1(x)-z1)都达到了它的最小值了,那么其它λi*(fi(x)-zi)也会到达最大值。 下面我们将从图像方面来进行讲解 在这里插入图片描述

第一种理解方式 以二目标最小优化问题为例,我们令wi=(fi(x)-zi),如图所示,坐标轴进行了相关的平移,最终以虚线为平移后的坐标系,横坐标为w2,纵坐标为W1。​我们给定一个向量λi,根据图中蓝线所示,我们的目标就是要找到Pareto前沿面PF(绿色加粗的线)上的个体点。给定向量λi之后,对于位于λ上方的个体有w1λ1>w2λ1(可以根据移位比较斜率),因此无论w2的取值如何变化,只要w1不变,那么结果大小都一样,min值=w1λ1,所以等高线是平行于w2,同理可知,位于λ下方的等高线是平行于w1的。(正如图中绿色细线所示的那样,为等高线)。 第二种理解方式 在这里插入图片描述 单看f1函数,即只考虑纵坐标,若两点等值,必然是λi*(fi(x)-zi)式中f1的函数值相等(因为另外两个量是不变的),即纵坐标相等,所以f1函数的等高线是一组平行于横轴的直线。f2类似,为一组平行于纵轴的直线。

通过上述两种理解讲解了等高线是由两条垂直的线组成,我们继续介绍下面的收敛过程,对于位于λ上方的个体,如果出现新个体w1小于等高线值,则等高线向下移动(注意是两条线同时移动);同理,位于λ下方的个体,如果出现新个体w2小于等高线值,则等高线向左移动(注意是两条线同时移动),直到搜索到Pareto前沿。我们可以看上面两张图片,它们所指的箭头就是向下,向左的方向。 当我们对向量λ取不同的值,就可以得到其他Pareto解。 最后文章中还提及了切比权重聚合方法,就是结合两种方法并加了个参数p控制两种方法的比例。 在这里插入图片描述

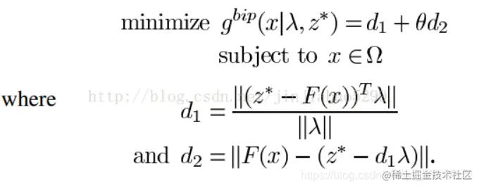
3.边界交叉聚合方法

在几何中,边界交叉法就是找到最上边界和一组线的 交点。如果这些线在均匀分布,则可以预期所得到的交叉点提供整个PF的良好近似。下面给出数学表达式: 在这里插入图片描述 在这里插入图片描述 式子中等式约束其目的是为了保证F(x)位于权重向量λ的方向上,通过减小d来使算法求出的解逼近PF。但该条件不太容易实现,故将其改进为下边这种方法。 在这里插入图片描述 在这里插入图片描述 可知算法放宽了对算法求出的解得要求,但加入了一个惩罚措施,说白了,就是你可以不把解生成在权重向量的方向上,但如果不在权重向量方向上,你就必须要接收惩罚,你距离权重向量越远,受的惩罚越厉害,以此来约束算法向权重向量的方向生成解。 接下来是关于d1和d2两个参数的计算表达式的含义说明,我依然是从几何角度理解的。 在这里插入图片描述 d1——观察d1的计算表达式,Z*-F(x)可以看做原点到Z点的向量减去原点到F(x)的向量,得到的是从F(x)出发指向Z的一个向量,暂且命名为μ,之后μ与λ相乘得到μ在λ方向上的投影,这个长度值与λ的长度值之比为d1。 d2——其表达式的含义其实也无非就是利用向量运算构造出d2所表示的向量,取模即可得到d2.构造过程如下: Z表红色向量,d1λ表蓝色向量(因为减法,所以方向取反),红色减蓝色得紫色向量,F(x)表绿色向量,绿色减紫色得黄色向量,即d2表黄色向量的长度。

MOEA/D的框架

整体框架

令λ1,…,λN为一组均匀分布的权重向量。通过使用切比雪夫法,可以将PF近似的问题分解为标量优化子问题,第j个子问题的目标函数是 在这里插入图片描述 在一次运行中,MOEAD同时优化所有的N个目标。 在每次迭代中,应维持的一些:

  1. 大小为N的种群,x^1^,…x^N^,x^i^表示第i个子问题的当前解;
  2. FV^1^,…,FV^N^,FV^i^=F(x^i^);
  3. zi表示目标函数fi(x)当前找到的最优值(最大值) ;
  4. 一个外部种群(EP),用来保存非支配解;

算法流程

在这里插入图片描述 在这里插入图片描述 在这里插入图片描述 STEP1:初始化

1)计算权重向量之间的欧式距离,对于每个权重向量λ得到离它最近的T个权重向量存在B(i),所以向量终端一定在橙线(y=−x+1 y=-x+1y=−x+1)上,所以欧式距离越小,表示越相邻; 在这里插入图片描述 2)随机生成初始种群

4)EP-->外部种群

SETP2:种群更新 SETP3:结束

实验结论

最终实验结果: 1.在多目标0-1背包问题和连续多目标优化问题上,MOEA/D以简单的分解方法优于或接近于MOGLS和NSGA-II。 2.使用目标归一化的MOEA/D可以处理不同规模的目标,采用高级分解方法的MOEA/D可以为3个目标测试实例生成一组分布非常均匀的解。 3.对MOEA/D在小种群情况下的能力、MOEA/D的可扩展性和灵敏度进行了实验研究。

ps:初学多目标进化算法,也是看了很多大佬的博客以及原文进行理解总结,如果有一些不对的地方还请大佬们进行批评指正,同时也借鉴了这些博客,如果想要深入了解,可以看下面博客。 blog.csdn.net/sinat_33231… blog.csdn.net/loveC__/art… blog.csdn.net/qithon/arti… blog.csdn.net/qq_35414569… blog.csdn.net/qithon/arti…