信号完整性(SI)电源完整性(PI)学习笔记(五)电容的物理基础

294 阅读5分钟

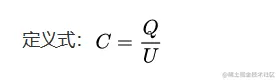
电容的物理基础 1.导体的电容量就是单个导体上存储的电荷量与导体之间电压的比值。

在这里插入图片描述

2.电容是对两个导体在给定电压下存储电荷效率的变量。

3.如果两个导体之间没有直流路径,在他们之间就有电容,其阻抗会随频率的升高而降低,在高频时阻抗会非常低。

4.电容的微妙之处在于即使两个导体之间没有直接连接线(可能是两条不同的信号线)导体之间也总是有电容存在的。

5.理想电容器中,两个导体之间没有直流通路,只有当两个导体之间的电压变化时,才有电流流经电容器。 I=C*(du/dt)

6.在时域中,电容量越大,电容器的阻抗就越小。

7.直径为1in的球面电容约为2pF(球面电容的经验法则)

8.平行板是很常见的一种近似电容量可表示为:

在这里插入图片描述

其中:

C 表示电容量

ε0​表示自由空间的介电常数,为 0.089 pF/cm 或 0.225 pF/in

A 表示平板的面积

h 表示平板间距

9。为了减小电源分配系统中的电压轨道塌陷,就要在电源和地之间有足够的去耦电容,在一定的时间△t内电容可以阻止电源电压的下沉。

10.由于去耦电容的作用电压下沉幅度达到电源电压的5%的时间近似为:

在这里插入图片描述

其中:

δt 表示电压下降量达到电源电压的5% 时的时间,单位为s

C表示去耦电容量,单位为F

0.05 表示允许的5% 的电压下降量

P 表示芯片的平均功率损耗,单位为W

V 表示电源电压,单位为V

11.通常满足足够大的去耦电容,最少提供5us(10us),直到电源稳压器能够提供足够电流。

12.电源与地平面的实际作用是为芯片和去耦电容之间提供低电感路径,而不是直接提供去耦电容。

13.如何大幅度提高电源和地平面之间的电容?

(1)电介质厚度

(2)介电常数

14.信号路径和返回路径之间的电容为:

在这里插入图片描述

其中

C 表示互连线的总电容

CL​ 表示中位长度电容

Len 表示互连线的长度

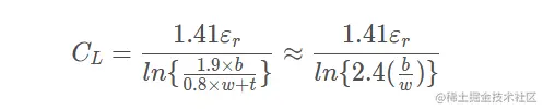
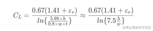
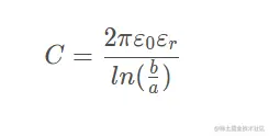
15.对于横截面的单位长度电容,对3 种横截面有精确的近似:

在这里插入图片描述

同轴电缆是由两根同心圆柱异体组成、中间填充人介质材料的互连线.通常把中心的内导体称为信号路径.而把外导体称为返回路径,内导体和外导体间的单位长度电容的精确表示式为:

在这里插入图片描述

其中:

CL​ 表示单位长度电容

ε0​ 表示自由空间的介电常数,为 0.089 pF/cm 或 0.225 pF/in

εr​表示绝缘材料的相对介电常数

a 表示内部信号导体的半径

b 表示外部返回导体的半径

第二个精确关系式是两个平行圆杆之间的电容,如下所示:

在这里插入图片描述

其中:

CL​ 表示单位长度电容

ε0​ 表示自由空间的介电常数,为 0.089 pF/cm 或 0.225 pF/in

εr​表示绝缘材料的相对介电常数

s 表示两根棒的中心距

r 表示圆杆的半径

如果杆间距离远大于它的半径(即 s»r ), 则这个相对复杂的关系式可近似为:

在这里插入图片描述

这两种情况都假设两根圆杆周围的介质材料是处处均匀的。但遗憾的是,情况并不总是这样。这种近似不是很有用,只有空气中的键合线这类特殊情况才是可以的。

第三种是平面与平面上圆杆之间的电容的近似,当圆杆远离平面时(即 h»r ), 电容近似为:

在这里插入图片描述

h 表示平面表面与棒中心之间的距离

16.通常把中心的导体称为信号路径,而把外导体称为返回路径。

17.经验法则:FR4板上50Ω传输线单位长度电容为3.5pF/in

18.这些近似式仅是近似的,如果要求准确度很高,就应该使用二维场求解器计算单位长度电容。

19.微带线的单位长度电容为:

在这里插入图片描述

其中:

CL​ 表示单位长度电容,单位为pF/in

εr​表示绝缘材料的相对介电常数

h 表示介质厚度,单位为mil

w 表示线宽单位为mil

t 表示导体的厚度.单位为mil

20.带状线的单位长度电容近似为:

在这里插入图片描述

其中:

CL​ 表示单位长度电容,单位为pF/in

εr​表示绝缘材料的相对介电常数

b 表示介质总厚度,单位为mil

w 表示线宽单位为mil

t 表示导体的厚度.单位为mil

21。对于任意几何结构,应用二维场求解器计算单位长度电容的绝对误差不大于1%。场求解器的另一个优点是能够考虑到二阶效应的影响,其中一个重要的效应是线条厚度的增加对微带线单位长度的影响。

22.微带线的电力分布,一部分电力线穿过空气,一部分穿过填充材料,其有效介电常数是空气的介电常数与填充介质介电常数的组合。

23.叠层材料的固有介电常数是不会变化的,只有当导体之间的场穿过不同比例的空气和介质时,才会造成电容的变化。