MySQL索引

110 阅读8分钟

一、索引是什么,为什么要使用索引。

  • 索引是一种特殊的文件(InnoDB数据表上的索引时表空间的一个组成部分),他们包含着对数据表里所有记录的引用指针

  • 索引是一种数据结构,数据库索引,是数据库管理系统中一个排序的数据结构,协助快速查询、更新数据库表中数据。索引的实际通常使用B树或B+树。通俗的来说,索引就相当于字典目录,为了方便查找字典中的内容,通过对内容指定信息建立索引形成目录,且该目录(索引)是一个文件,需要占据一定的物理空间。

  • 优点:加快查询速度,提高系统性能

  • 缺点: 1:空间方面,索引需要占据一定的磁盘空间。 2:时间方面,索引的创建以及维护都需要消耗时间,表现为:当表进行增删改时,索引也需要进行动态维护。

二、MySQL 索引类型及数据结构

1、普通索引、唯一索引、复合索引

  • 普通索引:即一个索引只包含单个列,一个表可以有多个单列索引(普通索引)。
  • 唯一索引:索引列的值必须是唯一,允许有空值。
  • 复合索引:多列值组成一个索引,适合于组合搜索,效率大于索引合并。

2、B Tree索引、B+ Tree索引、Hash索引

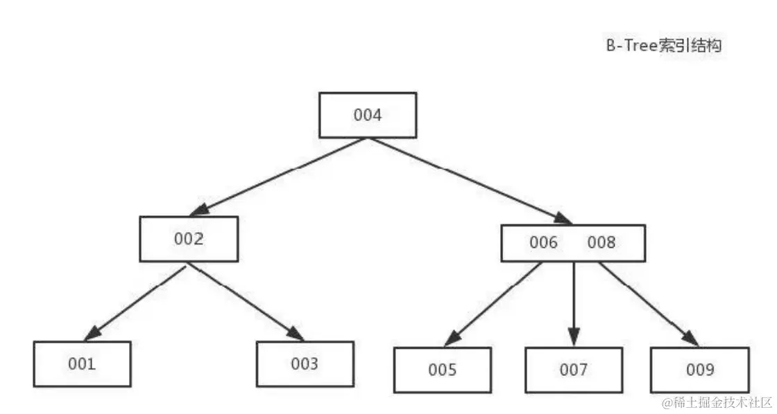
  • B Tree索引
    • 实现:多叉树 B Tree能显著加快数据的访问速度,因为索引的存储引擎为多叉树,不再需要进行全表扫描来获取目标数据,数据存储在各个节点中。
    • 索引结构:

image.png

  • B+ Tree索引
    • 实现:多叉树+叶子节点指针 B+ Tree作为B Tree的改进版。所有的索引数据存储在树的叶子节点上,并且早叶子加点上增加了顺序访问指针,每个叶子节点都指向相邻的叶子节点的地址。相比于B Tree来说,B+Tree在进行范围查找是只需要定位到起始和结束两个节点,接着进行一次遍历即可,而B Tree则需要获取范围内的所有节点。

    • 索引结构:

image.png - 索引性质: 1. n课子tree的节点包含n个关键字,不用来保存数据而是保存数据的索引。 2. 所有的叶子结点中包含了全部的关键字信息,以及指向包含这些关键字记录的指针,且叶子节点本身根据关键字的大小顺序链接。 3. 所有的非终端节点可以看做是索引的一部分,节点中仅含其子树中的最大(或最小)关键字 4. B+ tree中,数据对象的插入和删除仅在叶子节点上进行。 5. B+ tree中有两个头指针,一个是树的根节点,一个是最小关键字的叶子节点。

  • Hash索引
    • 实现:基于Hash表实现,只有精确匹配索引所有列的值的查询才生效。 对于每一行数据,存储引擎都会对所有的索引列计算一个hash code,并且Hash索引将所有的hash code存储在索引中,同时在索引表中保存指向没个数据行的指针。

    • 索引结构: image.png

    • 优缺点: 1、基于Hash 表可快速定位被查值,但查询过程无序、IO复杂度高,且无法利用索引完成排序。 2、适用于等值查询,如=,in(),<=>,但不支持范围查询。 3、因为Hash 索引始终索引的所有列的全部内容,所以不支持部分索引列的匹配查找。 4、如果有大量重复键存在的情况下,Hash索引的效率会因Hash碰撞而导致性能下降

3、为什么默认B+ Tree数据结构

  • B+ Tree的磁盘IO代价更低:B+ Tree的内部节点并没有指向关键字具体信息的指针,因此其内部节点相对B Tree更小,如果把所有节点的关键字放在同一块硬盘中,那么该磁盘所能容纳的关键字数量越多,一次性读取内存关键字信息也越多,相对来说IO读写次数就越少。
  • 由于B+ Tree的数据都存储在叶子节点中,且每个叶子节点均指向相邻的叶子节点,分支节点均为索引,方便扫库,只需要扫一遍叶子节点即可。但是B Tree因为其分支节点同样存储着数据,我们要找到具体的数据,需要进行一次中序遍历,所以B+ Tree更加适合在范围查询,所以通常B+ Tree用于数据库索引数据结构。

4、聚簇索引,非聚簇索引

  • 聚簇索引:在B+ Tree中的叶子节点存储了整行数据,即数据存储与索引放在一起,找到索引也就找到了数据。
    • 对于聚簇索引来说,通常只会查询一次。
  • 非聚簇索引:在B+ Tree中的叶子节点中仅存储主键的值。(又称二级索引)
    • 对于非聚簇索引来说,通常根据过滤条件找到非聚簇索引(顺序IO),接着需要根据主键索引再去聚簇索引中查找数据(随机IO),即回表,该过程可能存在多次。
    • 当查询语句中的字段全部命中非聚簇索引时,那么就不必在进行回表查询。(即覆盖索引)。 例如:我们在student表的score字段建立了索引,当执行select score from student where score > 90 的SQL查询时,因为索引在叶子节点上已经

注: InnoDB的主键索引时聚簇索引,二级索引时非聚簇索引,我们自己建的索引基本都是非聚簇索引。MyISAM中都是非聚簇索引。

三、正确使用索引

如何创建索引

索引创建原则

    1. 非空字段: 应指定非空(NOT NULL)字段的索引列,除非想要存储NULL。在mysql中,含有控制的列难以进行查询优化,因其使得索引的统计信息以及比较运算更加复杂。应该采用特殊字符或者空串代替NULL值。
    1. 取离散大的字段:count((distinct col) / count( * )) (变量各取值之间的差异程度)的列放到联合索引的前面,可以通过count() 函数查看字段的差异,返回值越大说明字段的唯一值越多,字段的离散程度越高。
  • 索引字段越小越好: 从存储的角度来说,数据库的数据存储以页为单位,一页存储的数据越多,一次IO读取的数据量越大,效率越高。
    1. 最左前缀匹配原则: 创建多列索引(联合索引)时,要根据业务需求,where子句中使用最频繁的一列放在最左边。 MYSQL在查询时,会从左向右匹配,直到遇到范围查找(>、<、between、like)就停止匹配。例如:a = 1 and b = 2 and C > 3 and d =4,如果建立(a, b, c, d)顺序的索引,那么d是用不到索引的,如果建立(a, b, d, c)的索引,则都可以用到,a, b, d可以乱序。
    1. =in 可以乱序: 例如:查询条件,a = 1 and b = 2 and d = 4 建立(a, b, d) 索引可以任意顺序。
    1. 索引列不参与计算: 索引列在参与计算时会导致索引失效,例如data(create_time) = '2022-04-06'就不会使用到索引,因为b+ 数中存的是数据表中的字段值。所以该语句应该写成:create_time=data('2022-04-06')
    1. 尽量扩展索引,不要创建新的索引。 比如表中已经有了(a)的索引,现在要加(a, b)的索引,那么直接修改原来的索引即可。

前缀索引

因为可能我们索引的字段非常长,这即占用内存空间,也不利于索引维护。所以我们考虑,将字段前面的公共部分作为一个索引,。但是,order by 不支持前缀索引。 计算流程: 先计算完整列的选择性:

select count(distinct col_1)/count(1) from table

在计算不同前缀长度的选择性:

select count(distinct left(col_1, 4))/count(1) from table

找到最优长度后,创建前缀索引:

create index idx_front on table (col_1(4))

联合索引

联合索引:使用多个字段同时建立一个索引。 在联合索引中,如果想要命中索引,需要按照建立索引时的字段顺序挨个使用,否则无法命中索引。

索引下推

MySQL5.6 引入了索引下推优化。
控制参数:set optimizer_swith='index_condition_pushdown=true',默认开启。
1. 索引优化可以减少回表次数。
2. 在InnoDB中只针对二级索引有效。

索引失效

  1. 使用!=或者<>导致索引失效。
  2. 类型不一致导致索引失效。
  3. 函数导致索引失效。 如:student表的create_time建索引列,但函数作用导致失效。
 select * from student data(create_time) = '2022-04-06'
  1. 基本运算符导致索引失效。(+、-、*、/、!操作后均不走索引)
 select * from student data(create_time) = '2022-04-06'
  1. or 引起索引失效。(失效条件:or 连接非同一字段)
 select * from student name = "张三" or score = 90 ;
  1. 模糊搜索导致索引失效。(默认值在前走索引,默认值在后索引失效)
 select * from student where name like "%东";
  1. not in 、 not exists导致索引失效。