数组-Leetcode-396

106 阅读1分钟

0️⃣python数据结构与算法学习路线
学习内容:

  • 基本算法:枚举、排序、搜索、递归、分治、优先搜索、贪心、双指针、动态规划等…
  • 数据结构:字符串(string)、列表(list)、元组(tuple)、字典(dictionary)、集合(set)、数组、队列、栈、树、图、堆等…

题目:

给定一个长度为 n 的整数数组 A 。
假设 Bk 是数组 A 顺时针旋转 k 个位置后的数组,我们定义 A 的“旋转函数” F 为:
F(k) = 0 * Bk[0] + 1 * Bk[1] + … + (n-1) * Bk[n-1]。
计算F(0), F(1), …, F(n-1)中的最大值。

输入输出:

A = [4, 3, 2, 6]
F(0) = (0 * 4) + (1 * 3) + (2 * 2) + (3 * 6) = 0 + 3 + 4 + 18 = 25
F(1) = (0 * 6) + (1 * 4) + (2 * 3) + (3 * 2) = 0 + 4 + 6 + 6 = 16
F(2) = (0 * 2) + (1 * 6) + (2 * 4) + (3 * 3) = 0 + 6 + 8 + 9 = 23
F(3) = (0 * 3) + (1 * 2) + (2 * 6) + (3 * 4) = 0 + 2 + 12 + 12 = 26
所以 F(0), F(1), F(2), F(3) 中的最大值是 F(3) = 26 。

解题思路:

暴力法:

  • 遍历0-n
  • 遍历数组中的数字
  • 求和,输出最大和

错位相减:
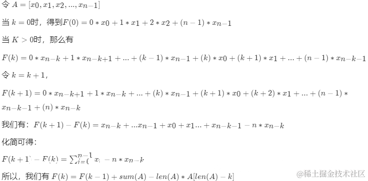
在这里插入图片描述

算法实现:

暴力法(很惨超时了):

class Solution(object):
    def maxRotateFunction(self, A):
        l = len(A)
        if l:
            return max([sum([j*A[j-i] for j in range(l)]) for i in range(l)])
        else:
            return 0

错位相减:

class Solution:
    def maxRotateFunction(self, A: List[int]) -> int:
        n = len(A)
        if n < 2:
            return 0
        f = sum(i*A[i] for i in range(n))
        result = f
        sumA = sum(A)
        for j in range(1, n):
            f = f + sumA - n*A[-j]
            result = max(f, result)
        return result

出现问题:

max([sum([j*A[j-i] for j in range(l)]) for i in range(l)])可以省去两个赋值