Numpy---随机抽样

154 阅读1分钟

本文已参与「新人创作礼」活动,一起开启掘金创作之路。

numpy.random.seed()

  1. seed() 用于指定随机数生成函数
  2. 相同的seed生成的随机数相同
  3. 没设置则按系统时间选择这个值

离散型随机变量

  1. 二项分布
    函数表示:numpy.random.binomial(n, p, size=None)
    函数的代码表示:choose(n, k) pk (1-p) (n-k)
    size 表示采样的次数, n 表示做了 n 重伯努利试验, p 表示成功的 概率,函数的返回值表示 n 中成功的次数。
  2. 泊松分布
    函数表示:numpy.random.poisson(lam=1.0, size=None)
    函数的代码表示:exp(-lam) lam*k / k!
    size 表示采样的次数, lam 表示一个单位内发生事件的平均值,函 数的返回值表示一个单位内事件发生的次数。
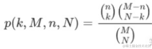
  3. 超几何分布
    函数表示:numpy.random.hypergeometric(ngood, nbad, nsample, size=None)
    函数的代码表示:exp(-lam) lam*k / k!

表示对一个超几何分布进行采样, size 表示采样的次数, ngood 表示总体中具有成功标志的元素个 数, nbad 表示总体中不具有成功标志的元素个数, ngood+nbad 表示总体样本容量, nsample 表示抽 取元素的次数(小于或等于总体样本容量),函数的返回值表示抽取 nsample 个元素中具有成功标识 的元素个数。