什么是布隆过滤器

142 阅读5分钟

小兔:有的黑客会构建大量不存在于缓存中的key向服务器发起缓存穿透攻击,在数据量足够大,qps足够高的情况下,可能直接把数据库打挂。这种问题要怎么解决呢?

小熊:可以把不存在于数据库的key也放到缓存中。

小兔:假设有100亿条数据,每个key为64个字节,也就是6400G,也就是说需要花费6400G的内存对不存在的数据进行缓存吗?

小熊:emm......

小熊:哎。。。小虎

小虎:小熊最近咋啦,怎么愁眉苦脸的。

小熊:昨天遇到了这样的问题......

小虎:这种场景使用布隆过滤器再适合不过了!

小熊:给我讲讲什么是布隆过滤器呗。

小虎:布隆过滤器由一个很长的bit数组和一组哈希映射函数组成。可以用于检索一个元素是否一定不在一个集合中或者可能在集合中。

小虎:它的优点是空间效率和查询效率都十分优异,缺点是有一定的误判率、删除困难。

布隆过滤器的数据结构:

布隆过滤器是一个 bit 向量或者说 bit 数组,长这样:

image.png

如果我们要把一个key映射到布隆过滤器中,就需要利用所有哈希函数对这个key进行映射,得到一系列的哈希值,把这些哈希值当成数据下标,把下标对应的数组元素置为1。

假设现在对对肯德基的菜单进行构建布隆过滤器:

首先,现在我们把“汉堡”这个key映射到布隆过滤器中,通过哈希函数映射的结果为1和7,我们现在把对应的bit元素标志为1。

image.png

Ok,我们现在再存一个值 “鸡腿”,如果哈希函数返回2和5的话,图继续变为:

image.png

接着我们想要查询某个key是不是在布隆过滤器中,只需要再通过哈希函数或者一系列的哈希值,然后把这些哈希值作为数组下标查看对应的元素是否为1。

这里有两种情况:

1. 不是所有位置都为1,肯定不在布隆过滤器中

image.png

瞧,如果我们要查询“可乐“这个key是否在布隆过滤器中的时候,发现通过哈希函数2映射的结果6对应的bit位是0。

因为如果“可乐”这个key如果在过滤器中的话,下标为2和6的bit位肯定都是1.所以我们可以很肯定的说,”可乐”这个key不在布隆过滤器中。

2.所有位置的bit位都是1,可能在布隆过滤器中

image.png

如果我们要查询“鸡肉卷”这个key是不是在布隆过滤器中的时候,发现通过哈希函数获得的哈希值所对应的bit都被置为1了,那这个值是不一定在布隆过滤器中的,为什么呢?

布隆过滤器的缺点 因为哈希函数可能是存在冲突的。在发生冲突的情况下,如果刚好所有的值都被置为1了,就会产生误判。为了能做到在时间和空间上的高效率,布隆过滤器牺牲了判断的准确率。所以对于不能接受误判的业务场景,通常需要在通过布隆过滤器之后再做一层判断。

另外布隆过滤器还有一个缺点就是删除比较困难,假如要删除一个key的话,不能简单的把这个key映射到的bit位都简单的置为0,因为哈希冲突的情况下,会影响其它key的判断。如果要删除的话,可以参考Counting Bloom Filter。

如何控制布隆过滤器的准确率 首先。布隆过滤器如果太小的话, bit 很快就会被全置为1,不论查询什么,结果都是“可能存在”,就起不到过滤效果了。所以布隆过滤器的长度会直接影响准确率,长度越长,准确率越高。

另外,哈希函数的个数也会影响布隆过滤器的准确率。哈希函数越多的话,对每个key进行映射的时候,被置为1的bit位也就越多,也会很快就把布隆过滤器打满。

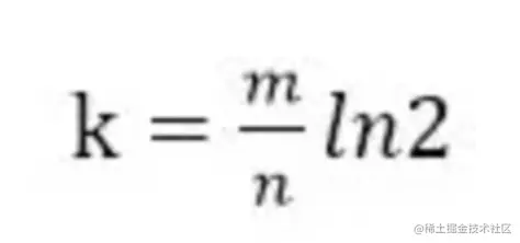
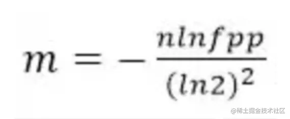
假设我们的预估数据量为n,期望的误判率为fpp的话,bit数组大小和哈希函数个数k可以通过以下公式计算得到:

image.png

image.png

实战:使用Guava提供的布隆过滤器

首先需要引入依赖,在pom里面加上:

<!-- https://mvnrepository.com/artifact/com.google.guava/guava -->
<dependency>
   <groupId>com.google.guava</groupId>
   <artifactId>guava</artifactId>
   <version>29.0-jre</version>
</dependency>

然后测试一下误判率:

import com.google.common.hash.BloomFilter;
import com.google.common.hash.Funnels;
​
public class BloomFilterTest {
   public static void main(String[] args) {
       int total = 100000; //总数量
​
       BloomFilter<Integer> bf = BloomFilter.create(Funnels.integerFunnel(), total);
       // 初始化数据到布隆过滤器中
       for (int i = 0; i < total; i++) {
           bf.put(i);
       }
       // 判断值是否存在过滤器中
       int count = 0;
       for (int i = total; i < total + 10000; i++) {
           if (bf.mightContain(i)) {
               count++;
           }
       }
       System.out.println("误判的数量 ~ " + count);
   }
}

image.png

可以看到测试结果中,有286个元素不在布隆过滤器中,却被误判了。误判率= 281/10000 = 0.0281。

翻一下源码,可以看到误判率的默认值为0.03,和我们的测试结果差不多。

public static <T> BloomFilter<T> create(Funnel<? super T> funnel, long expectedInsertions) {
   return create(funnel, expectedInsertions, 0.03D);
}

然后我们修改误判率为0.01,再进行测试:

import com.google.common.hash.BloomFilter;
import com.google.common.hash.Funnels;
​
public class BloomFilterTest {
   public static void main(String[] args) {
       int total = 100000; //总数量
​
       BloomFilter<Integer> bf = BloomFilter.create(Funnels.integerFunnel(), total, 0.01);
       // 初始化数据到布隆过滤器中
       for (int i = 0; i < total; i++) {
           bf.put(i);
       }
       // 判断值是否存在过滤器中
       int count = 0;
       for (int i = total; i < total + 10000; i++) {
           if (bf.mightContain(i)) {
               count++;
           }
       }
       System.out.println("误判的数量 ~ " + count);
   }
}

image.png

可以看到误判率为93/10000 = 0.0093,差不多约等于我们期望的0.01。

布隆过滤器的其他使用场景

  • 反垃圾邮件,从数十亿个垃圾邮件列表中判断某邮箱是否垃圾邮箱
  • 爬虫过滤已抓到的url就不再抓,可用bloom filter过滤
  • Google Chrome 使用布隆过滤器识别恶意 URL
  • 使用布隆过滤器避免推荐给用户已经读过的文章/视频