动态规划(详细描述及最长公共子序列问题解决)

203 阅读3分钟

本文已参与[新人创作礼]活动,一起开启掘金创作之路
上一篇动态规划最直观的感受就是,存在着大量重复的子问题,我们利用查表的方式去解决并以此减少运行时间。 这篇文章主要解决以下几个问题: 1、动态规划的原理是什么?要在什么时候使用动态规划? 2、最优子结构的产生方式? 3、最长公共子序列问题

动态规划的原理是什么?要在什么时候使用动态规划?

动态规划: 动态规划是用来解决 子问题重叠 的情况,对于这部分重叠的问题,可以预先创建一份表,对应保存着这些子问题的解,在遇到重叠的子问题的时候就直接读表求解而不用重新计算,以此减少运行时间。他与分治法十分相似,但是分治法是将问题划分为 互不相交的子问题 ,递归求解子问题,在将解组合起来。 动态规划何时使用: 需要具备两个要素 “最优子结构”和“子问题重叠” ,下面仔细的说一下这两个要素 最优子结构: 一个问题的解包含其子问题的最优解,则该问题具有最优子结构性质,需要注意的是在判断最优子结构的时候要注意子问题是无关的,即同一个原问题的一个子问题不影响另一个子问题的解。 子问题重叠: 构造的递归算法反复求解相同的问题,则该问题具有子问题重叠性质

如何找到最优子结构?

先找递归表达式, 再看表达式是不是最优子结构,就是能不能找出一个表示当前状态的方法, 使得对于每个当前状态都有唯一的答案。┓( ´∀` )┏ 这好难哦,以后学到了再来补充

最长公共子序列问题

什么是最长公共子序列: 子序列: 存在一个序列 X={x1,x2,x3....xn},以及另一个序列 Z={z1,z2,z3....zm},若序列Z与X序列中的某个序列 {xa1,xa2,xa3....xan}完全相等,并且a1~an是严格递增的,则称Z是X的子序列 公共子序列: Z 同时是X和Y的子序列。 最长公共子序列例子: X = {A,C,B,A,C,D} Y={A,B,C,A,D} 最长公共子序列为 Z={A,B,C,D}

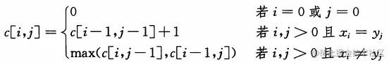
动态规划求解问题: 我们还是按照下面步骤求解 在这里插入图片描述 1、如下图,其中Xk表示 {x1,x2,x3,....xk} 在这里插入图片描述 2、递归函数如下,其中c[i,j]表示Xi和Yj的最长子序列。 在这里插入图片描述 3、4、在下面代码中展示

#include <stdio.h>
#include <string.h>
#include <iostream>
#include <vector>
using namespace std;

//采用自底向上的方式,c用来存储已经计算出来的结果
vector<vector<string>> LCSCal(string *X,string *Y,int len1,int len2)
{
    vector<vector<string>> b(len1+1,vector<string>(len2+1));
    vector<vector<int>> c(len1+1,vector<int>(len2+1));
    for (int i=0;i<len1+1; i++)
        c[i][0]=0;
    for (int i=0;i<len1+1; i++)
        c[0][i]=0;
    for (int i=1;i<len1+1;i++)
        for (int j=1;j<len2+1;j++)
        {
            if (X[i-1]==Y[j-1])
            {
                c[i][j]=c[i-1][j-1]+1;
                b[i][j]="↖";
            }else if (c[i-1][j]>=c[i][j-1])
            {
                c[i][j]=c[i-1][j];
                b[i][j]="↑";
            }else
            {
                c[i][j]=c[i][j-1];
                b[i][j]="←";
            }
        }
    return b;
}

//构造最优解
int PrintAndGetMaxLenth(vector<vector<string>> a,string *X,int len1,int len2)
{
    int len = 0;
    string result[len1] = {} ;
    for (int i=len1;i>=1;)
        for (int j=len2;j>=1;)
        {
            if (a[i][j]=="↖")
            {
                result[len] = X[i-1];
                i--;
                j--;
                len++;
            }else if (a[i][j]=="↑")
            {
                i--;
            }else
            {
                j--;
            }
            if (i==0 || j==0)
            {
                for (int k =len;k>=0;k--)
                    cout<<result[k];
                return len;
            }
        }
}


int main()
{
    string a[] = {"A","B","C","B","D","A","B"};
    string b[] = {"B","D","C","A","B","A"};
    int len1 = sizeof(a) / sizeof(*a);
    int len2 = sizeof(b) / sizeof(*b);
    vector<vector<string>> result = LCSCal(a,b,len1,len2);
    for (int i=1;i<len1+1;i++)
    {
        for (int j=1;j<len2+1;j++)
            cout<<result[i][j];
        cout<<endl;
    }
    cout<<PrintAndGetMaxLenth(result,a,len1,len2);
}

在这里插入图片描述 在这里插入图片描述 上述算法中,c就是我们用来查找的表,并且采用自底向上的方法进行动态规划计算

题外话

在这里插入图片描述 算法真的好贪心哦,好喜欢红红火火恍恍惚惚!!!