「前端刷题」143.重排链表(MEDIUM)

86 阅读1分钟

一起养成写作习惯!这是我参与「掘金日新计划 · 4 月更文挑战」的第23天,点击查看活动详情

题目(Reorder List)

链接:https://leetcode-cn.com/problems/reorder-list
解决数:1386
通过率:63.6%
标签:栈 递归 链表 双指针 
相关公司:bytedance facebook amazon 

给定一个单链表 L **的头节点 head ,单链表 L 表示为:

L0 → L1 → … → Ln - 1 → Ln

请将其重新排列后变为:

L0 → Ln → L1 → Ln - 1 → L2 → Ln - 2 → …

不能只是单纯的改变节点内部的值,而是需要实际的进行节点交换。

 

示例 1:

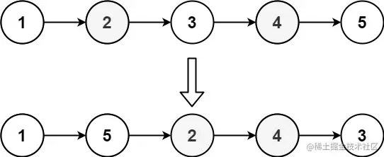
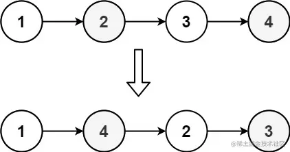
输入: head = [1,2,3,4]
输出: [1,4,2,3]

示例 2:

输入: head = [1,2,3,4,5]
输出: [1,5,2,4,3]

 

提示:

  • 链表的长度范围为 [1, 5 * 104]
  • 1 <= node.val <= 1000

思路

  1. 步骤一: 找到链表中点后分割其为 left 链表、right 链表两部分;
  2. 步骤二: 翻转 right 链表, 翻转链表思路同 206.Reverse_Linked_List;
  3. 步骤三: 接着从 left 链表的左侧, 翻转后的 right 链表的左侧各取一个值进行交替拼接;

快慢指针即 quick 指针每次走两步, slow 指针每次走一步, 同 148.Sort_List

                   s               q
dummy -> 1 -> 2 -> 3 -> 4 -> 5 -> NULL

步骤一: 拆分 head 链表成 `left``right` 两个链表;

l
1 -> 2 -> 3 -> null

r
4 -> 5 -> NULL

步骤二: 翻转 right 链表

l
1 -> 2 -> 3 -> null

r
5 -> 4 -> NULL

步骤三: 衔接 left、right 两个链表;

          l
1 -> 5 -> 2 -> 3 -> NULL

r
4 -> NULL

步骤二中翻转链表的图解大致如下:

 cur  next
  1 -> 2 -> 3 -> null

       prev cur
null <- 1 <- 2 -> 3 -> null

            prev cur
null <- 1 <- 2 <- 3 -> null

                 prev
null <- 1 <- 2 <- 3 -> null
/**
 * Definition for singly-linked list.
 * function ListNode(val) {
 *     this.val = val;
 *     this.next = null;
 * }
 */
/**
 * @param {ListNode} head
 * @return {void} Do not return anything, modify head in-place instead.
 */
var reorderList = function(head) {
  const dummy = new ListNode(0)
  dummy.next = head

  let slow = dummy
  let quick = dummy

  while (quick && quick.next) {
    slow = slow.next
    quick = quick.next
    quick = quick.next
  }

  let right = slow.next
  slow.next = null
  let left = dummy.next

  right = reverseList(right)

  while (left && right) {
    let lNext = left.next
    let rNext = right.next
    right.next = left.next
    left.next = right
    left = lNext
    right = rNext
  }

  return dummy.next
}

var reverseList = (list) => {
  let prev = null
  let cur = list

  while (cur) {
    let next = cur.next
    cur.next = prev

    prev = cur
    cur = next
  }

  return prev
}