【刷题打卡】971. 翻转二叉树以匹配先序遍历

116 阅读2分钟

本文已参与「新人创作礼」活动,一起开启掘金创作之路。

一、题目描述:

971. 翻转二叉树以匹配先序遍历 - 力扣(LeetCode) (leetcode-cn.com)

给你一棵二叉树的根节点 root ,树中有 n 个节点,每个节点都有一个不同于其他节点且处于 1n 之间的值。

另给你一个由 n 个值组成的行程序列 voyage ,表示 预期 的二叉树 先序遍历 结果。

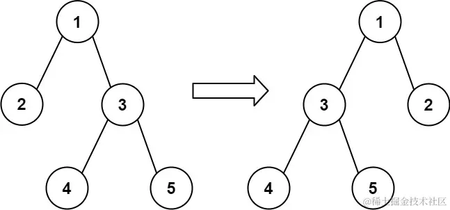
通过交换节点的左右子树,可以 翻转 该二叉树中的任意节点。例,翻转节点 1 的效果如下:

image.png

请翻转 最少 的树中节点,使二叉树的 先序遍历 与预期的遍历行程 voyage 相匹配 。 

如果可以,则返回 翻转的 所有节点的值的列表。你可以按任何顺序返回答案。如果不能,则返回列表 [-1]。

 

示例 1:

image.png

输入:root = [1,2], voyage = [2,1]
输出:[-1]
解释:翻转节点无法令先序遍历匹配预期行程。

示例 2:

image.png

输入:root = [1,2,3], voyage = [1,3,2]
输出:[1]
解释:交换节点 23 来翻转节点 1 ,先序遍历可以匹配预期行程。

示例 3:

image.png

输入:root = [1,2,3], voyage = [1,2,3]
输出:[]
解释:先序遍历已经匹配预期行程,所以不需要翻转节点。

提示:

  • 树中的节点数目为 n
  • n == voyage.length
  • 1 <= n <= 100
  • 1 <= Node.val, voyage[i] <= n
  • 树中的所有值 互不相同
  • voyage 中的所有值 互不相同

二、思路分析:

深度遍历树的各个节点,如果为空返回即可、如果不为空但是val与对应的voyage值不同那就是失败,返回-1即可、如果相同,则比较左子树是否符合,否的化就交换节点(如果交换之后还不符合,那么进入递归调用之后也会返回-1的)。

三、AC 代码:

#include<vector>
using namespace std;
/**
 * Definition for a binary tree node.
 * struct TreeNode {
 *     int val;
 *     TreeNode *left;
 *     TreeNode *right;
 *     TreeNode(int x) : val(x), left(NULL), right(NULL) {}
 * };
 */
class Solution {
public:
    int a = 0; //当前匹配的位置
    vector<int> v;  //要反转的节点值
    vector<int> flipMatchVoyage(TreeNode* root, vector<int>& voyage) {
        dfs(root,voyage);
        // if(v[0] == -1){
        //     v.clear();
        //     v.push_back(-1);
        // }
        return v;
    }

    //当前节点,匹配的vector
    void dfs(TreeNode* root, vector<int>& voyage){
        if(root == nullptr) return;
        if(voyage[a] != root->val){
            v.clear();
            v.push_back(-1);
            return;
        }
        else{
            a++;
            if(root->left != NULL && root->left->val != voyage[a]){
                v.push_back(root->val);
                dfs(root->right,voyage);
                dfs(root->left,voyage);
            }
            else{
                dfs(root->left,voyage);
                dfs(root->right,voyage);
            }
        }
    }
};