Globally and Locally Consistent Image Completion阅读笔记

332 阅读2分钟

摘要及介绍

在前面Context Encoder的基础上作者提出了全局与局部一致的图像补全方法,全局鉴别器用来鉴别产生的图像是否是一副完整的图像,局部鉴别器只关注缺失区域产生的图像的质量。同时,该方法适用于不规则的缺失区域的图像补全。

网络结构

image.png

该文章设计了三个网络,分别为图像生成网络,局部鉴别器网络和全局鉴别器网络。

生成网络

生成网络架构为Encoder-Decoder方式,除了使用传统的卷积网络外,作者还使用了4层dilated convolutional layers,这种卷积方式可以增大感受野。具体介绍(75 封私信 / 80 条消息) 如何理解空洞卷积(dilated convolution)? - 知乎 (zhihu.com)

全局鉴别器

全局鉴别器网络将图片缩放到256*256大小作为输入,由六个卷积层和一个全连接层组成。

局部鉴别器

局部鉴别器和全局鉴别器网络结构相差不大,只是输入为128*128大小。

级联模块

最后,将全局和局部上下文鉴别器的输出串联成单个的2048维度向量,通过全连接层处理,输出0-1范围内连续值,代表图像是真实图片而不是已修复图片的概率。

损失函数

MSEloss

image.png

C(x, Mc)表示函数形式的补全网络,x为输入图像,Mc为与输入图像相同大小的补全区域掩码。二进制掩码Mc在要填充的区域内取值1,在其他区域取值0

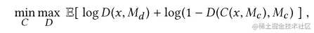
GANloss

image.png

采用的是传统的GANloss训练

结果

image.png

结论

提出了一种新的图像补全方法,该方法基于卷积神经网络产生局部和全局一致的图像补全;

不足:如果缺失区域很大或目标对象结构比较复杂时效果不太好。

image.png

image.png