数字电路——Day12

217 阅读3分钟

本文已参与「新人创作礼」活动,一起开启掘金创作之路。


还是先来回顾牛客网上的错题吧:今天刷了15题。电路的东西还是有好多不懂的地方。

  1. 对于0.5级变压器的线性,一般要求在0至额定值范围内,其偏差不应大于输入量满度值的()
A. ±0.5%  B1%
C.±1.5%    D.±2%

本题选A.先记着吧


  • 常用的组合逻辑有:编码器、译码器、数据选择器、数值比较器、加法器、函数发生器、奇偶校验器等等
  • 时序逻辑电路: 移位寄存器,计数器,顺序脉冲器,序列信号发生器,分频器。

  1. 三极管作为开关时工作区域是( )
A.饱和区+放大区           B.击穿区+截止区
C.放大区+击穿区           D.饱和区+截止区

本题选D,答案解析:一共有放大区,饱和区 ,截止区三个区
工作在开关状态时是截止和饱和(饱和区-开关接通,截止区-开关断开)
作为放大器用时工作在放大区


  1. 下列说法正确的是()
A.2个OC结构与非门线与得到与或非门。
B.与门不能做成集电集开路输出 (OC门)结构
C.或门不能做成集电集开路输出结构
D.或非门不能做成集电集开路输出结构

本题答案选A;不知道为啥?CMOS电路中漏极开路输出门电路(OD门),与之对应,在TTL电路中也有一种集电极开路输出结构(OC门)


  1. 在多谐振荡器、单稳态触发器、施密特触发器,()中常用于产生脉冲波形?
A.多谐振荡器
B.单稳态触发器
C.施密特触发器

本题选A ,多谐振荡器:利用深度正反馈,通过阻容耦合使两个电子器件交替导通与截止,从而自激产生方波输出的振荡器。常用作方波发生器。 多谐振荡器是一种能产生矩形波的自激振荡器,也称矩形波发生器。在接通电源后,不需要外加脉冲就能自动产生矩形脉冲!


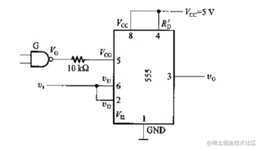
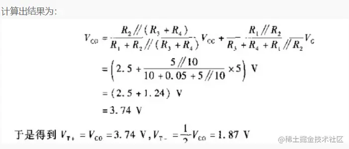
  1. 下图是用555定时器接成的施密特触发器。图中与非门的输出电压VG的高、低电平分别为VOH=5V,VOL=0V,输出电阻小于50Ω。试问VC为低电平下电路的VT+、VT-。 image.png

与非门为低电平,输出电阻接地;与非门为高电平,输出电阻和Vcc相连,根据555定时器内部3个5k欧电阻分压,可以得出输出电阻和这三个电阻的分压关系,即可计算出阈值电压 image.png

  • 对于同步复位和异步复位,(同步复位)可以消除毛刺;(同步复位)在FPGA中,消耗更多的资源。 同步复位仅在时钟信号有效沿时,有效,可以消除毛刺。 在FPGA中,同步复位需要采用组合逻辑进行设计,增加逻辑资源。