MySQL系列P1—索引相关知识总结

487 阅读13分钟

  本文已参与「新人创作礼」活动, 一起开启掘金创作之路。

前言

  索引相关知识笔记

索引

  什么是索引?按照MySQL的官方定义,索引是存储引擎用于快速定位记录的一种数据结构。可能初看到这句话都是懵逼的。举个例子,给你一本《21天学会Java》这本书,现在想让你快速找到多线程相关知识在哪页,你会怎么做?当然是先找到目录,确定一个多线程相关知识在哪个章节,然后看一下页码,最后翻到对应的页就可以了。哪如果这本书没有目录呢?我们就只能一页页翻过去确认。所以MySQL中的索引其实就是一个目录,这个目录记录着数据库中数据的位置,这样我们在删改查的时候,就可以快速定位到相关记录行,然后进行修改。

索引的优缺点

  如上所述,索引的存在可以加速数据库定位到相关记录,但索引也是一种数据结构,我们都知道,我们使用数据结构对数据进行增删改查时,都需要对数据结构进行维护,常见的如ListMap等,相信看过相关源码的同学都知道,因此索引也需要数据库进行维护,这也会增加数据库的工作量。索引常见的优缺点如下:

  • 优点
    • 减少查询需要扫描的数据量,加快查询速度;
    • 减少服务器的排序操作和创建临时表的操作,这是因为索引是有序排列的;
    • 服务器的随机IO变为顺序IO(后面会聊到)
  • 缺点
    • 索引占用磁盘和内存空间;
    • 增删改查时,数据库要维护索引,降低了这些操作的速度;

索引分类

  对于MySQL来说,索引是由数据库底层的存储引擎实现的,由于MySQL支持不同的存储引擎,如MyisamMemoryInnoDB等,因此索引也有很多种。根据划分维度不同,下面分成两个部分来介绍,一是实现索引的底层数据结构,二是以应用层常用的索引类型进行分类。

以数据结构进行分类

  底层实现也不同。这里以底层数据结构进行分类,介绍几种常见的索引:

  • B-/B+树索引;
  • Hash索引;
  • 空间数据索引;
  • 全文索引;

  这里我们主要介绍Hash索引和B-树和B+树索引。

Hash索引

  Hash索引是基于Hash表实现的,熟悉数据结构的同学应该知道Hash是基于K-V键值对来存储数据的。对于每一行数据,存储引擎都会对所有的索引列使用Hash函数进行计算得出相应的HashCodeHash索引将所有的HashCode都存储在索引中,同时在Hash表中保存指向每行数据的指针。对于HashCode相同的索引,则采用追加链表的方式来解决冲突。例如,维护一个用户身份证信息和姓名的表,需要根据身份证信息找到用户姓名,此时的Hash索引就如下所示:

img

  Hash索引的优点是增加数据时很方面,只需要计算一下HashCode然后进行插入或者追加链表即可,查询时,若是等值查询,即select语句中where子句使用=in(...)或者是<>这些符号时,查询速度非常快。但是,Hash索引的缺点也是显而易见,那就是范围查询时这个时候就需要遍历整个Hash索引来确定。而范围查询在实际开发过程中使用频率非常高,若是数据库中数据量非常大,这么搞的话要么数据库崩了,要么用户心态崩了。

  总结一下Hash索引的优缺点:

  • 优点
    • 新增数据时,操作简便,只需要计算HashCode再向Hash表中插入或者追加链表即可;
    • 等值查询时,速度非常快,只需要计算HashCode后找到对应链表遍历即可;
  • 缺点:
    • 只支持等值查询,范围查询性能较差;
    • Hash索引中的数据并不是按序排列的,这样无法用于数据排序操作;
    • Hash冲突,若是数据量非常大时,则产生Hash冲突几率也会增大,链表也会越来越长,这样在遍历链表时花费的时间也会越长,查询性能较差;

B-树索引

  上面说到了,索引的存在可以加速数据库定位相关记录的速度,那么除了Hash表之外,还有什么数据结构可以用户存储和查找呢?   答案很显然,就是树。树的种类有很多种,最常见的就是AVL平衡二叉树了。既然数据库需要查找索引,为什么没有使用AVL树而是B-树呢?虽然AVL的时间复杂度为O(logN),查询性能已经很高了,但需要注意到的是,数据库里的索引和数据最终都是要落地的即保存到硬盘介质上的当数据量非常大的时候索引也会非常大内存不能够一次性将这些索引全部加载完毕只能一次加载一个磁盘页。若是使用AVL树,那么当索引非常大时这棵树的高度也就会非常高。而AVL树的高度很高时就会占用很多页,而且这些页只是在逻辑上连续在物理上并不一定连续。这就会导致数据库在查询索引时要很频繁的进行磁盘IO。在最坏的情况下磁盘IO的次数就等于树的高度。而且,我们都知道,一般情况下,内存访问一定量的数据可远比磁盘访问一定量数据要快得多,前者越是后者的五分之一时间,因此,此时IO成为阻碍提高数据库性能的瓶颈

  那么如何减少IO次数呢?AVL树中,除叶子节点外,其他节点最多只有两个子节点,这就导致数据量非常大时,树的高度会逐渐增大。那么假如现有有一种数据结构除了叶子节点外每个节点的子节点个数比AVL多一些呢这样每层所能容纳的数据量是不是就会变大树的高度是不是就会变小磁盘IO速度是不是就会降低?基于此,B-树就应运而生了。B-树是一种多路平衡查找树每一个节点最多包含K个孩子K被称为B-树的B-树的概念以及如何实现,这里不是重点,所以就不重点展开了。下面是相同量的数据,AVL树与B-树对比的一个示意图:

image.png

image (1).png

  从上图可以明显看出,相同数据量下B-树的确减少树的高度

  对于MySQL中的B-树索引来说,每个节点存储两个东西,一个是索引,一个是插入到数据库的数据

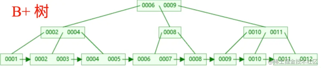
B+树索引

  说完了B-树,那B+树就很简单了。对于MySQL中的B+树索引,除叶子节点外其余节点均只存储索引叶子节点即存储着索引也存储着具体的行数据B+树的叶子节点之间用指针连接形成链表这样可以通过对链表的遍历便可以获取叶子节点上的索引数据。如下所示:

image (2).png

上面关于B-和B+树的介绍很简单,这是因为其底层实现太过复杂,这里不是一两句话能说清的,有兴趣的可以自行搜索资料,这里特别推荐一个小册,对MySQL的InnoDB引擎做了很详尽的解释,绝对物超所值。MySQL 是怎样运行的:从根儿上理解 MySQL

小结

Hash索引与B+树索引的区别:

  • hash索引进行等值查询更快(一般情况下),无法进行范围查询,也不支持使用索引进行排序。这是因为在hash索引中经过hash函数建立索引之后,索引的顺序与原顺序无法保持一致,不能支持范围查询.而B+树的的所有节点皆遵循(左节点小于父节点,右节点大于父节点,多叉树也类似),天然支持范围;
  • hash索引不支持模糊查询以及多列索引的最左前缀匹配.原理也是因为hash函数的不可预测.AAAAAAAAB的索引没有相关性;
  • hash索引任何时候都避免不了回表查询数据,而B+树在符合某些条件(聚簇索引,覆盖索引等,后面会说到)的时候可以只通过索引完成查询;
  • hash索引虽然在等值查询上较快,但是不稳定.性能不可预测,当某个键值存在大量重复的时候,发生hash碰撞,此时效率可能极差.而B+树的查询效率比较稳定,对于所有的查询都是从根节点到叶子节点,且树的高度较低;

B-树与B+树区别:

  • B+树存储更多索引。相比于B-树,B+树的非叶子节点只保存索引,这样使得B+树每个非叶子节点能保存的索引数量大大增加,一次磁盘IO时就能读取到更多的索引,加快索引查询速度;
  • B+树支持范围查询。B+树叶子节点保存着具体的行记录,每个叶子节点的键值从小到大链接形成链表,这样就可以通过遍历链表获取叶子节点上的索引和数据;
  • B+树的查询时间复杂度稳定。使用B+存储数据时,若想要查询具体的行记录则必须要到叶子节点才能获取到,所以每次查询都是根节——>非叶子节点——>叶子节点,查询性能较为稳定,而B-树就不稳定,靠近根节点就快点,远离根节点就慢点;

  二者的对比图如下所示:

image (3).png

image (4).png

以应用进行分类

  InnoDB引擎因其优良的性能已经成为MySQL的默认引擎了,所以下面介绍的索引类型都是基于InnoDB引擎生成实现的。

聚簇索引

  什么叫聚簇索引呢?先建个表来进行说明。

CREATE TABLE `tb` (
  `id` int(11) NOT NULL,
  `k` int(11) NOT NULL,
  `name` varchar(16) DEFAULT NULL,
  PRIMARY KEY (`id`),
  KEY `idx_k` (`k`)
) ENGINE=InnoDB DEFAULT CHARSET=utf8mb4;

  当向表中分别插入(100,"1","a")(200,"2","b")(300,"3","c")(500,"5","e")(600,"6","f")InnoDB会为主键id和索引k分别生成一个B+树,如下所示:

img

  我们先来看id这个索引,可以看到,每条记录都完整地保存在叶子节点上,且每个叶子节点由指针相连形成链表,这种由主键索引组成,且每个叶子节点保存一行记录的索引就叫做主键索引,也称之为聚簇索引。由于聚簇索引上的叶子节点都保存有完整的行记录,当查询索引时只要定位到相关叶子节点上,然后遍历链表,就可以轻松获取想要查询的行记录。例如,select * from tb where id=200,先通过(300)这个索引通过索引定位到(200),再通过(200)定位到(200,2,b)这个索引上,又因为这个索引上存储着完整的行记录,索引可以读取到数据。这种索引结构的查询效率是最高的,因为索引即数据,数据即索引

  我们再来看k形成的索引,每个叶子节点上只保存了k和id的值,每个叶子节点由指针相连,形成链表。由于这不是主键构成的,统称之为非聚簇索引。非聚簇索引是如何查询的呢?以k为例,假如现在有这样一个查询语句,select * from tb where k=2,那么就会先通过(3)定位到(2)这个节点,再定位到(2,100)这个叶子节点上,然后再根据100这个主键值去聚簇索引中去查询具体的行记录,最后将结果返回,这种由非聚簇索引记录去聚簇索引查询的操作就叫做回表。如下所示:

img

  所以,相对于聚簇索引,非聚簇索引的查询方式需要多扫描一颗B+树,这样就会多消耗一定的时间和资源。因此,在实际应用过程中,我们都会建议使用非业务字段建立一个主键索引加快查询速度,例如用户个人信息表,除了姓名,性别,身份证号等业务字段之外,我们都会再分配一个id给它,使用这个非业务字段id来建立聚簇索引。最后一个建议就是,当设计数据库时,如果准备使用id做主键建立索引时,最好将id设为自动增长,即 AUTO_INCREMNET,因为若是主键自增,则id将会一直变大,这样在建立索引时行记录可以一直向后插入此时建立B+树索引时耗费的时间和资源最小,否则会造成索引页分裂,耗费性能。最后需要注意的是,InnoDB引擎关于聚簇索引有这么一条规则:如果表设置了主键,则主键就是聚簇索引如果表没有主键,则会默认第一个NOT NULL,且唯一(UNIQUE)的列作为聚簇索引;以上都没有,则会默认创建一个隐藏的row_id作为聚簇索引

二级索引

  除了聚簇索引之外的,其他的都是二级索引,分别有这么几种:

  • 普通索引:即使用一个列建立的索引,就像上面的 key idx_k(k)
  • 唯一索引:创建时使用unique关键字进行修饰的,假如将k设为唯一索引,可以这样写 unique key uni_k(k)
  • 联合索引:使用多个列建立的索引,假如使用k和name建立一个联合索引,就是这样 key idx_k_name(k,name)
  • 前缀索引:当使用一个较长的字符串建立索引时,此时索引较大,占据的空间较大,此时可以仅这个字符串的一部分字符建立索引,这样就可以大大节约索引空间,从而提高索引检索效率,假如对name建立前缀索引,可以这样,key idx_sub(name(3))name(3)的3就代表对name的前3个字符建立索引;

MySQL底层对于索引的优化

  上面我们说到了,非聚簇索引在查询时,还需要进行回表操作,因为相比于聚簇索引,其效率较低。那非聚簇索引可不可以减少回表次数甚至规避回表操作呢?答案当然是可以的。我们先建立一个用户信息表,根据这个表来进行分析。

CREATE TABLE `t_user` (
  `id` bigint(11) NOT NULL AUTO_INCREMENT COMMENT '主键id',
  `id_card` bigint(11) NOT NULL COMMENT '身份证号',
  `name` varchar(32) CHARACTER SET utf8 COLLATE utf8_general_ci NOT NULL COMMENT '姓名',
  `age` int(11) NOT NULL COMMENT '年龄',
  `sex` tinyint(1) NOT NULL COMMENT '性别,0 男;1 女',
  `create_time` datetime NOT NULL COMMENT '创建时间',
  `update_time` datetime NOT NULL COMMENT '修改时间',
  PRIMARY KEY (`id`),
  UNIQUE KEY `id_card` (`id_card`),
  KEY `idx_name_age` (`name`,`age`)
) ENGINE=InnoDB AUTO_INCREMENT=4 DEFAULT CHARSET=utf8;

INSERT INTO `t_user`(`id_card`,`name`,`age`,`sex`,`create_time`,`update_time`) VALUES (12345678910,'jack',20,0,CURRENT_TIMESTAMP,CURRENT_TIMESTAMP),(12345678911,'rose',18,1,CURRENT_TIMESTAMP,CURRENT_TIMESTAMP);

索引下推

  我们前面说过,B+树上,每个节点都是按照创建索引时的顺序就行排列的,以idx_name_age为例,先按照名字进行排序,若名字相同时,按照年龄来排序,年龄相同时按主键id进行排序。当有这么一个查询语句时,select * from t_user where name like 'j%‘ and age>18,在MySQL5.6之前,sql语句在执行时,先找到所有满足name like 'j%'的索引节点,然后执行回表操作去聚簇索引中找到满足name like 'j%'的第一行记录,然后开始遍历链表,再找出满足age>18的记录。但从MySQL5.6之后开始引入索引下推优化(index condition pushdown),可以在遍历索引时,先对索引中包含的字段进行判断,过滤掉不满足条件的记录,从而减少回表的次数。

索引覆盖

  我们知道聚簇索引中,所有的叶子节点除了保存索引项之外还包含完整的行记录,而二级索引中,每个叶子节点上的索引除了含有索引项之外还含有主键项。所以,当执行select id,name,age from t_user where name ='jack'时,由于在k索引的B+树上,每个节点既含有k的值,也含有主键id的值,所以这条sql语句的执行流程是这样的:先找到(jack,20,1),由于此时idage的值也在这个节点上,所以不需要再去聚簇索引中查找idage的值,不需要进行回表操作。也就是说,在这个查询中,索引idx_k已经“覆盖”了我们的查询需求当一个索引包含或者说是覆盖需要查询的索引字段时,我们称之为索引覆盖

索引失效的几种情况

现在创建一个表,分析索引失效的几种情况。

CREATE TABLE `t_invalid` (
  `id` int(5) NOT NULL AUTO_INCREMENT,
  `a` varchar(10) DEFAULT NULL,
  `b` varchar(10) DEFAULT NULL,
  `c` varchar(10) DEFAULT NULL,
  PRIMARY KEY (`id`),
  KEY `idx_a_b_c` (`a`,`b`,`c`)
) ENGINE=InnoDB DEFAULT CHARSET=utf8;

最左匹配原则

  上面说到了,非聚簇上的索引的排序规则是按照创建索引时各列的顺序进行的。所以索引idx_a_b_c的排序规则是,先按照a排序,a相同的话按照b排序,b相同的话按照c排序,c相同的话按照主键id排序。

  假如现在有这样一个查询语句,select * from t_invalid where b='b',如果直接使用b='b'这个条件进行搜索的话,MySQL不知道b='b'在哪个索引节点上,所以只能进行全表扫描,此时索引idx_a_b_c就失效了。同理,select * from t_invalid where a like '%a'这种查询语句也会导致索引失效,因为%a的排序规则不确定,所以MySQL也只能走全表扫描。为什么会出现这种情况呢?这也就引出了MySQL中一个很重要的原则,最左匹配原则。所谓的最左匹配原则即当MySQL匹配索引时会按照联合索引的最左N个字段,或者是字符串索引的最左M个字符进行匹配查找,直到遇上范围查询时(>、<、between、like)就会停止匹配

全值匹配

select * from t_invalid where a='a' and b='b' and c='c'这个查询语句,查询条件与索引顺序一致,MySQL会按照索引顺序从左到右一直匹配下去进行查询。这里需要注意一点的是,当查询条件包含所有索引,且均是等值匹配时,条件中的索引顺序可以不一致,就是说a='a'、b='b'、c='c'的顺序可以任意,因为MySQL的查询优化器会自动优化查询顺序。

匹配左边列

  下面的这三个查询语句,都是从最左边开始匹配,都用到了idx_a_b_c这个索引:

select * from t_invalid  where a = '1' 
select * from t_invalid  where a = '1' and b = '2'  
select * from t_invalid  where a = '1' and b = '2' and c = '3'

  而这几种都没有从最左边开始匹配,因为索引失效:

select * from table_name where  b = '2' 
select * from table_name where  c = '3'
select * from table_name where  b = '1' and c = '3' 

匹配前缀列

  如果列是字符型的话它的比较规则是先比较字符串的第一个字符,第一个字符小的哪个字符串就比较小,如果两个字符串第一个字符相同,那就再比较第二个字符,第二个字符比较小的那个字符串就比较小,依次类推,比较字符串。

例如,select * from table_name where a like 'as%';这个查询语句,前面的as是有序的,此时可以使用到idx_a_b_c进行匹配,而 select * from table_name where a like '%as'以及select * from table_name where a like '%as%'这两种,由于前面的字符顺序不确定,因为无法使用到索引,只能全表扫描

范围匹配

  按照索引顺序从左向右开始范围匹配之后的搜索条件将无法使用到索引。例如,select * from t_invalid where a='a' and b>'b' and c='c'这个查询语句,当a='a'这个条件满足时,b就是有序的,因而b>'b'这个条件也可以使用索引进行匹配,但是对于c='c'这个条件来说,因为b>'b'这个范围内,c的排序又是不确定的,所以就无法使用到idx_a_b_c这个索引条件进行匹配,只能逐条过滤出满足c='c'这个条件的数据。

排序

我们经常使用order by子句对返回结果进行排序,若是order by子句使用到了索引,则可以加速排序速度,如下所示:

select * from t_invalid order by a,b,c;

  因为索引B+树本来就是按照abc的规则进行排序的,索引可以直接从索引中取出数据再回表取回完整数据即可

select * from t_invalid order by a;
select * from t_invalid order by a,b; 

  上面这两种查询语句用到了部分索引,查询效率也很高。

select * from t_invalid order by b;
select * from t_invalid oder b,c;
select * from t_invalid order by b,c,a;

  上述几种查询语句,由于最左匹配原则,不能使用到索引,所以查询效率很低。

列参与运算

select * from t_invalid where UPPER(a) > 'a';

  上面这个查询语句,由于对a使用了UPPER()函数,索引参与到了运算当中,则索引就会失效。其他的,如:

select * from table_name where b/2>4;

这种也会导致索引失效,所以在实际应用中,除非必要情况,否则尽量让索引列不参与到运算当中

MySQL分析器优化

  当一条查询语句执行时,MySQL内部的分析器会对该查询语句进行分析,若是MySQL分析出该查询语句使用索引进行查询比全表扫描还要慢时,比如数据量较少时,使用二级索引查询还有可能涉及到回表操作,这比直接全表扫描要慢,此时MySQL就会放弃索引直接进行全表扫描。

总结

  对于索引失效的几个场景需要在实际开发工作中注意,因为之前的确遇到了一些索引失效的情况,导致踩了一些坑。