LeetCode 数据结构与算法之验证二叉搜索树

1,167 阅读1分钟

一起养成写作习惯!这是我参与「掘金日新计划 · 4 月更文挑战」的第23天,点击查看活动详情

题目

验证二叉搜索树

给你一个二叉树的根节点 root ,判断其是否是一个有效的二叉搜索树。

有效 二叉搜索树定义如下:

  1. 节点的左子树只包含 小于 当前节点的数。
  2. 节点的右子树只包含 大于 当前节点的数。
  3. 所有左子树和右子树自身必须也是二叉搜索树。  

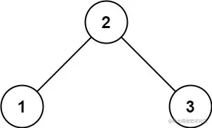
示例 1:

image.png

输入:root = [2,1,3]
输出:true

示例 2:

image.png

输入:root = [5,1,4,null,null,3,6]
输出:false
解释:根节点的值是 5 ,但是右子节点的值是 4

提示:

树中节点数目范围在[1, 104] 内
-231 <= Node.val <= 231 - 1

题解

解题分析

解题思路

  1. 结合题意可以知道:如果该二叉树的左子树不为空,则左子树上所有节点的值均小于它的根节点的值; 若它的右子树不空,则右子树上所有节点的值均大于它的根节点的值;它的左右子树也为二叉搜索树。

  2. 我们可以设计一个递归方法 isValidBST(TreeNode node, long lower, long upper) 来判断 node 参数考虑以 root 根节点为参数,判断树的所有节点值值是否都在 (lower,upper)范围内。如果 root 节点的值 val 不在 (lower, upper ) 返回内说明不满足条件直接返回,否者继续检索,直到检索完毕才说明是一个二叉搜索数。

  3. 在递归调用的过程中,我们 (lower, upper) 首次可以使用 int 的最大值,最小值。 在每次调用的过程中,左子树的 upper 值为 当前值 node.val , 右子树的 lower 值为 当前值 node.val 。

  4. 递归方法的出口由两种情况,第一种是 node == null 返回 true , 第二种就是 node.val 是否在 lower 和 upper 区间内,如果不在返回 false.

复杂度

时间复杂度 O(N)
空间复杂度 O(N)

解题代码

题解代码如下(代码中有详细的注释说明):

/**
 * Definition for a binary tree node.
 * public class TreeNode {
 *     int val;
 *     TreeNode left;
 *     TreeNode right;
 *     TreeNode() {}
 *     TreeNode(int val) { this.val = val; }
 *     TreeNode(int val, TreeNode left, TreeNode right) {
 *         this.val = val;
 *         this.left = left;
 *         this.right = right;
 *     }
 * }
 */
class Solution {
    public boolean isValidBST(TreeNode root) {
        return isValidBST(root , Long.MIN_VALUE, Long.MAX_VALUE);
    }

    // 递归校验方法
    public boolean isValidBST(TreeNode node, long lower, long upper) {
        // 如果为 null 表示合法
        if (node == null) {
            return true;
        }
        // 注意这里是开区间范围内合法
        if (node.val <= lower || node.val >= upper) {
            return false;
        }
        // left , right 分别判断,和设置 lower, upper 的值
        return isValidBST(node.left, lower, node.val )  && isValidBST(node.right, node.val, upper);
    }
}

提交后反馈结果如下:

image.png

参考信息