恢复二叉搜索树

73 阅读2分钟

一起养成写作习惯!这是我参与「掘金日新计划 · 4 月更文挑战」的第19天,点击查看活动详情

题目描述

给你二叉搜索树的根节点 root ,该树中的 恰好 两个节点的值被错误地交换。请在不改变其结构的情况下,恢复这棵树

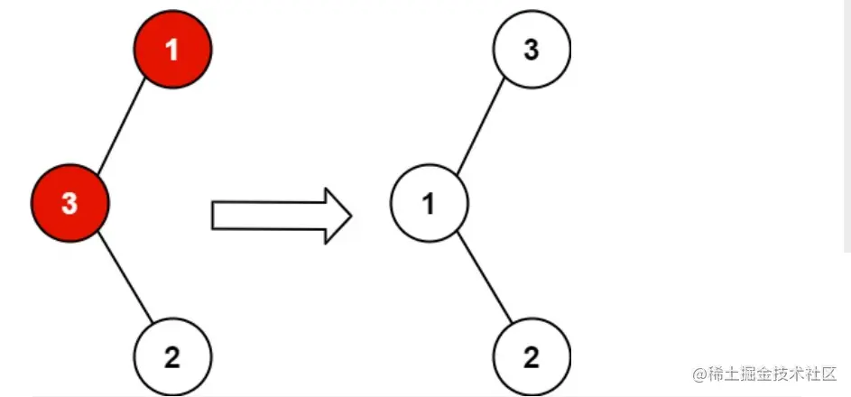
示例 1:

image-20220423153436922

输入:root = [1,3,null,null,2] 输出:[3,1,null,null,2] 解释:3 不能是 1 的左孩子,因为 3 > 1 。交换 1 和 3 使二叉搜索树有效。

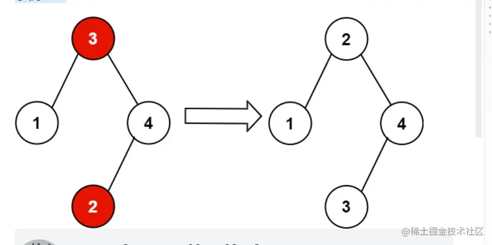
示例 2:

image-20220423153500567

输入:root = [3,1,4,null,null,2] 输出:[2,1,4,null,null,3] 解释:2 不能在 3 的右子树中,因为 2 < 3 。交换 2 和 3 使二叉搜索树有效。

提示:

  • 树上节点的数目在范围 [2, 1000]
  • -231 <= Node.val <= 231 - 1

思路

本题主要考察深度优先搜索,由于其本质上是一颗二叉搜索树,我们可以使用深度优先遍历的方式对其进行搜索,

因为错误交换两个数的值,肯定会导致至少有两个地方出错了。

比如说正确为12345,交换2和5,则变成15342,那么就会导致遍历的时候发现5和3这个地方出错一次,4和2这个地方又出错一次。 再比如说正确为1234,交换2和3,则变成1324,那么就会导致遍历的时候只有3和2这个地方出错一次。

所以在搜索的过程中使用pre指针和当前节点进行比较,如果pre指针所指向的节点的值大于当前节点的值,那么就把pre指针赋值给r1(第一次出错的节点),把root节点给r2指针,需要遍历所有的节点,把最后一个出错的节点给r2指针,最后再交换r1和r2的值即可。

代码

/**
 * Definition for a binary tree node.
 * struct TreeNode {
 *     int val;
 *     TreeNode *left;
 *     TreeNode *right;
 *     TreeNode() : val(0), left(nullptr), right(nullptr) {}
 *     TreeNode(int x) : val(x), left(nullptr), right(nullptr) {}
 *     TreeNode(int x, TreeNode *left, TreeNode *right) : val(x), left(left), right(right) {}
 * };
 */
class Solution {
public:
    TreeNode* r1;
    TreeNode* r2;
    TreeNode* pre;
    void recoverTree(TreeNode* root) {
        order(root);
        int temp = r1->val;
        r1->val = r2->val;
        r2->val = temp;
    }
​
    void order(TreeNode* root){
        if(root == nullptr) return;
        order(root->left);
        if(pre != nullptr && pre->val >= root->val)
        {
            if(r1 == nullptr) r1 = pre;
            r2 = root;// 最后出错的节点
        }
        pre = root;
        order(root->right);
    }
};