「前端刷题」142.环形链表 II(MEDIUM)

124 阅读2分钟

一起养成写作习惯!这是我参与「掘金日新计划 · 4 月更文挑战」的第22天,点击查看活动详情

题目(Linked List Cycle II)

链接:https://leetcode-cn.com/problems/linked-list-cycle-ii
解决数:2516
通过率:56%
标签:哈希表 链表 双指针 
相关公司:bytedance amazon microsoft 

给定一个链表的头节点  head ,返回链表开始入环的第一个节点。 如果链表无环,则返回 null

如果链表中有某个节点,可以通过连续跟踪 next 指针再次到达,则链表中存在环。 为了表示给定链表中的环,评测系统内部使用整数 pos 来表示链表尾连接到链表中的位置(索引从 0 开始)。如果 pos 是 -1,则在该链表中没有环。注意:pos 不作为参数进行传递,仅仅是为了标识链表的实际情况。

不允许修改 链表。

 

示例 1:

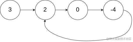
输入: head = [3,2,0,-4], pos = 1
输出: 返回索引为 1 的链表节点
解释: 链表中有一个环,其尾部连接到第二个节点。

示例 2:

输入: head = [1,2], pos = 0
输出: 返回索引为 0 的链表节点
解释: 链表中有一个环,其尾部连接到第一个节点。

示例 3:

输入: head = [1], pos = -1
输出: 返回 null
解释: 链表中没有环。

 

提示:

  • 链表中节点的数目范围在范围 [0, 104] 内
  • -105 <= Node.val <= 105
  • pos 的值为 -1 或者链表中的一个有效索引

 

进阶: 你是否可以使用 O(1) 空间解决此题?

思路

解题思路

  • 假设快慢指针相遇时,慢指针slow走了k步,那么快指针fast一定走了2k步

  • fast一定比slow多走了k步,这多走的k步其实就是fast指针在环里转圈圈,所以k的值就是环长度的「整数倍」

  • 假设环的起点到相遇点的距离为m,见下图,环的起点距头结点head的距离为k - m,也就是说如果从head前进k - m步就能到达环起点。

  • 如果从相遇点继续前进k - m步,也恰好到达环起点。因为结合上图的 fast 指针,从相遇点开始走k步可以转回到相遇点,那走k - m步肯定就走到环起点了

  • 只要我们把快慢指针中的任一个重新指向head,然后两个指针同速前进,k - m步后一定会相遇,相遇之处就是环的起点了

代码

/**
 * @param {ListNode} head
 * @return {ListNode}
 */
var detectCycle = function(head) {
  // 快慢指针初始化指向 head
  let slow = head;
  let fast = head;
  // 快指针走到末尾时停止
  while (fast && fast.next) {
    // 慢指针走一步,快指针走两步
    slow = slow.next;
    fast = fast.next.next;
    // 快慢指针相遇,说明含有环
    if (slow == fast) {
      // 任一一节点指向头节点
      fast = head;
      // 同步向前进
      while (fast != slow) {
        fast = fast.next;
        slow = slow.next;
      }
      // 返回入口节点
      return fast;
    }
  }
  // 不包含环
  return null;   
};