2022.3.25 MATLAB课程作业

214 阅读2分钟

本文已参与「新人创作礼」活动,一起开启掘金创作之路。

课上知识点:

极限:

一个动态逼近的过程,当自变量(有些情况下也叫 x )趋近于某个东西的时候,表达式的值趋近于一个确定的数值,那么这个表达式就有极限 在这里插入图片描述 ① 中的表达式在趋近于无穷的时候,2^x^ 的结果趋近于无穷 ,所以这个表达式没有极限 ② 中的表达式趋近于 无穷时,表达式 1 / x 的值趋近于 0 ,所以它的极限是 0

特别注意: 表达式在某处有没有极限与表达式在这个地方成不成立无关系,只和表达式在这个地方的结果会不会趋近于一个数值有关,∞ 无穷不是一个数值

为什么 x 趋近于无穷大时,1 / x 的数值会趋近于 0 ? 在这里插入图片描述 根据除法的运算规则来看,当 x 的数值(除数)一直增大,被除数的数值不变,商的结果就会一直减小,但不会跨越 0 ,因为是两个正数进行除法运算,所以,结果会趋近于 0

复合函数求导:

链式法则,与高中数学所学方法一致 在这里插入图片描述

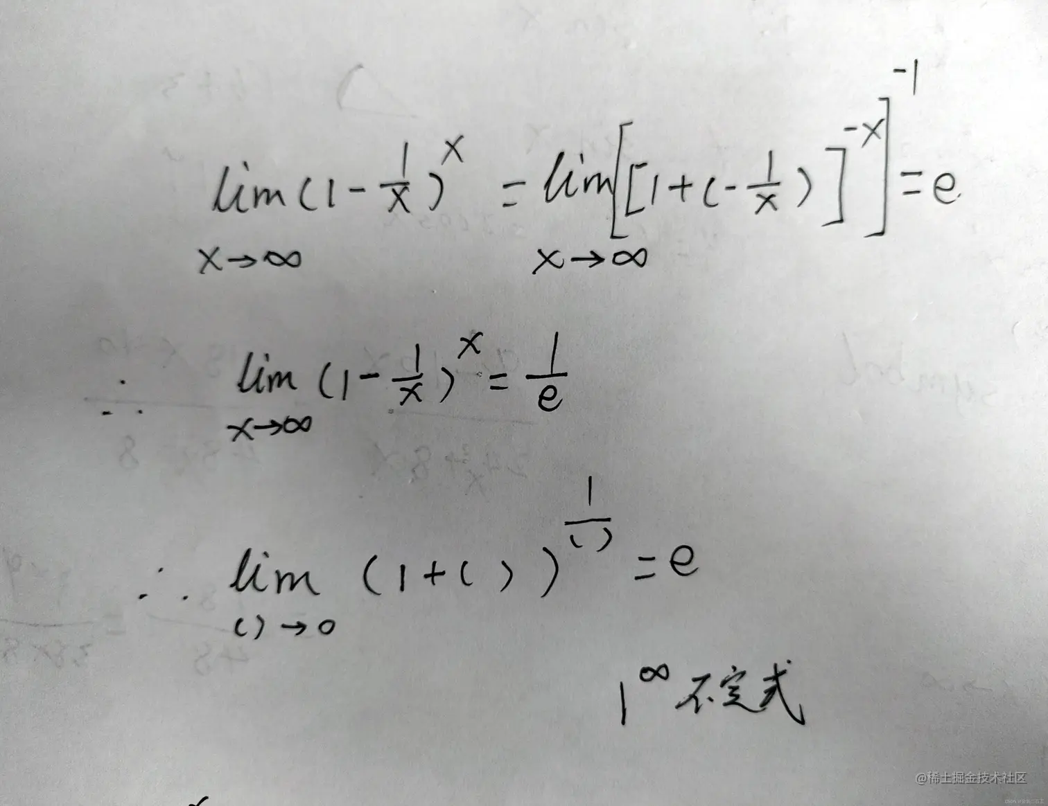
两个重要的极限:

在这里插入图片描述 在这里插入图片描述

等价无穷小:

适用于当自变量趋近于 0 的时候,一般直接使用结论即可,结论在网上一搜一大把,就像常用导数表那样

课后作业:

a = [1, 1];
b = [];
 
for i = 3:205 %计算 Fibonacci 数列 , 从第三项开始,每一项的结果都是前面两项的和
   a(i) = a(i - 1) + a(i - 2); 
end
 
for i = 1:200
    b(i) = a(i + 1) / a(i);
end
 
for_draw_use = [b(10), b(50), b(100), b(200)]; %用于画散点的数值
index = [10, 50, 100, 200];% 用于表示x
 
scatter(index, for_draw_use) %画散点图,括号内参数分别对应 x 和 y
 
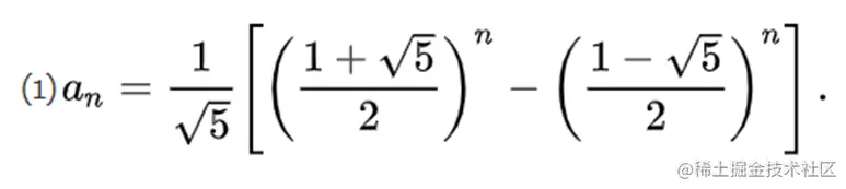
syms n;
an_2 = (((1 + sqrt(5) / 2))^n - ((1 - sqrt(5) / 2)))^n; % an
an_1 = (((1 + sqrt(5) / 2))^(n - 1) - ((1 - sqrt(5) / 2))^(n - 1)); % an - 1
result = limit (an_2 / an_1, n, Inf);
disp(result)


参考结果:

生成的数列如下: 在这里插入图片描述 在这里插入图片描述 散点图绘制结果: 在这里插入图片描述 斐波那契数列的通项: 在这里插入图片描述

Bn= an+1 / an
进而表达出bn的通项,使用limit计算极限,由于n趋近于无穷的时候,bn也趋近于无穷,所以,没有极限值

在这里插入图片描述