LeetCode 刷题笔记【160. 相交链表】

164 阅读2分钟

一起养成写作习惯!这是我参与「掘金日新计划 · 4 月更文挑战」的第5天,点击查看活动详情

题目

leetcode-cn.com/problems/in…

给你两个单链表的头节点 headA 和 headB ,请你找出并返回两个单链表相交的起始节点。如果两个链表不存在相交节点,返回 null 。

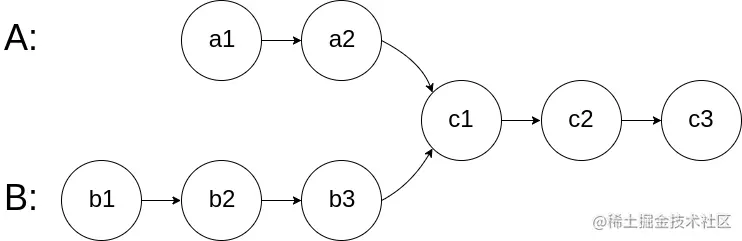
图示两个链表在节点 c1 开始相交:

image.png

题目数据 保证 整个链式结构中不存在环。

注意,函数返回结果后,链表必须 保持其原始结构 。

示例

输入:intersectVal = 8, listA = [4,1,8,4,5], listB = [5,6,1,8,4,5], skipA = 2, skipB = 3

输出:Intersected at '8'

解释:相交节点的值为 8 (注意,如果两个链表相交则不能为 0)。 从各自的表头开始算起,链表 A 为 [4,1,8,4,5],链表 B 为 [5,6,1,8,4,5]。 在 A 中,相交节点前有 2 个节点;在 B 中,相交节点前有 3 个节点。

解题思路

先看一下最理想的情况:两个链表长度一样。

如果两个链表相交,我们同时遍历,两个节点相同时即为相交点,如果他们不相交也没关系,遍历到终点两个都是 nullnull === null 也是满足条件的。

然而现实是残酷的,当两个链表长度不同时,他们并不能同时走到相交点,于是我们的关键点在于如果让两个链表同时走到相交点

既然长度相同可以同时走到相交点,那我们可以想办法让他俩长度一样。

在遍历时,把链表 B 的头接在链表 A 的末尾,把链表 A 的头接在链表 B 的结尾。

注意上面说的拼接并不是真的把 B 的尾节点指向 A,这样会破坏原有结构,并且会形成 。当一条链表遍历到结尾时,让其遍历另一条链表即可。

如果两个链表不相交,那最终他们会同时遍历到 null,说明他们不相交。

a1 -> a2 -> c1 -> c2 -> c3 => b1 -> b2 -> b3 -> c1 -> c2 -> c3
                                                ⬆️
b1 -> b2 -> b3 -> c1 -> c2 -> c3 => a1 -> a2 -> c1 -> c2 -> c3
                                                ⬆️

可以看到,拼接之后,两个链表同时遍历到 c1 的位置,即相交点。

代码

/**
 * Definition for singly-linked list.
 * function ListNode(val) {
 *     this.val = val;
 *     this.next = null;
 * }
 */

/**
 * @param {ListNode} headA
 * @param {ListNode} headB
 * @return {ListNode}
 */
var getIntersectionNode = function(headA, headB) {
    var cA = headA;
    var cB = headB;
    while(cA !== cB) {
      if (!cA) {
        cA = headB;
      } else {
        cA = cA.next;
      }
      if (!cB) {
        cB = headA;
      } else {
        cB = cB.next;
      }
    }
    return cA;
};